EX-10.2 2 exhibit102.htm EX-10.2 exhibit102
EXECUTION VERSION AMENDMENT NO. 1 TO CREDIT AGREEMENT THIS AMENDMENT NO. 1 TO CREDIT AGREEMENT dated as of February 1, 2023 (this “Amendment”), is among COCA-COLA CONSOLIDATED, INC., a Delaware corporation (the “Borrower”), WELLS FARGO BANK, NATIONAL ASSOCIATION, in its capacity as administrative agent (in such capacity, the “Administrative Agent”), and each of the Lenders party hereto. RECITALS: A. The Borrower, the lenders from time to time party thereto (collectively, the “Lenders”) and the Administrative Agent have entered into a Credit Agreement dated as of July 9, 2021 (as in effect on the date hereof, the “Existing Credit Agreement”). Capitalized terms used and not otherwise defined herein shall have the meanings ascribed to them in the Credit Agreement (as defined below). B. The Borrower, the Administrative Agent and the Lenders have agreed to amend the Existing Credit Agreement as set forth below. C. Subject to the terms and conditions set forth below, the Administrative Agent and the Lenders party hereto agree to provide such amendments. In furtherance of the foregoing, the parties agree as follows: Section 1. AMENDMENTS TO CREDIT AGREEMENT. Subject to the covenants, terms and conditions set forth herein and in reliance upon the representations and warranties set forth herein: (a) The Existing Credit Agreement is hereby amended such that, after giving effect to all such amendments, it shall read in its entirety as Annex A attached hereto (as so amended, the “Credit Agreement”). (b) Each of Exhibit B (Form of Notice of Borrowing), Exhibit D (Form of Notice of Prepayment) and Exhibit E (Form of Notice of Conversion/Continuation) to the Existing Credit Agreement is hereby amended and restated in its entirety as set forth as Annex B hereto. (c) Upon the effectiveness of this Amendment on the date hereof, (i) all Base Rate Loans (as defined in the Existing Credit Agreement) then outstanding under the Existing Credit Agreement shall continue as Base Rate Loans under the Credit Agreement subject to the definition of “Base Rate” as defined in the Credit Agreement, (ii) all Swingline Loans (as defined in the Existing Credit Agreement) then outstanding under the Existing Credit Agreement shall continue as Swingline Loans under the Credit Agreement subject to the terms thereof and (iii) all LIBOR Rate Loans (as defined in the Existing Credit Agreement) then outstanding under the Existing Credit Agreement, if any, shall continue as LIBOR Rate Loans (as defined in the Existing Credit Agreement) under the Credit Agreement (but subject to the applicable interest rate terms (including breakage) with respect thereto under the Existing Credit Agreement) solely for the duration of the existing Interest Periods applicable thereto as of the effective date of this Amendment; it being understood that such LIBOR Rate Loans and Interest Periods are not being renewed or extended as a result of this Amendment or the Credit Agreement and upon the expiration or earlier termination of such Interest Periods such LIBOR Rate Loans shall become either Base Rate Loans or SOFR Loans (each as defined in the Credit Agreement), in each case as selected by the Borrower in accordance with the provisions of the Credit Agreement.


 
The amendments to the Existing Credit Agreement and the Exhibits thereto referenced above are limited to the extent specifically set forth above and no other terms, covenants or provisions of the Existing Credit Agreement (including any Schedules or other Exhibits thereto) or any other Loan Document are intended to be affected hereby. Section 2. CONDITION PRECEDENT. The parties hereto agree that the amendments set forth in Section 1 above shall be effective as of the date first written above upon the receipt by the Administrative Agent of counterparts of this Amendment, duly executed and delivered by the Borrower, the Administrative Agent and each of the Lenders. Section 3. REPRESENTATIONS AND WARRANTIES. In order to induce the Administrative Agent and the Lenders to enter into this Amendment, the Borrower represents and warrants to the Administrative Agent and the Lenders as follows: (a) The representations and warranties contained in Article VI of the Credit Agreement are true and correct in all material respects on and as of the date hereof, as though made on and as of the date hereof (unless expressly stated to relate to an earlier date, in which case such representations and warranties are true and correct in all material respects as of such earlier date); (b) Since December 31, 2020, no Material Adverse Change has occurred. (c) No Default or Event of Default has occurred and is continuing or will exist after giving effect to this Amendment. (d) This Amendment has been duly authorized, executed and delivered by the Borrower and constitutes a legal, valid and binding obligation of the Borrower, enforceable against the Borrower in accordance with its terms, except as may be limited by bankruptcy, insolvency, reorganization, moratorium or other similar laws relating to or affecting the rights of creditors generally and except as the enforceability of this Agreement is subject to the application of general principles of equity (regardless of whether considered in a proceeding in equity or at law), including, without limitation, (i) the possible unavailability of specific performance, injunctive relief or any other equitable remedy and (ii) concepts of materiality, reasonableness, good faith and fair dealing. Section 4. MISCELLANEOUS. (a) Ratification and Confirmation of Loan Documents. The Borrower hereby consents, acknowledges and agrees to the amendments set forth herein and hereby confirms and ratifies in all respects the Loan Documents to which the Borrower is a party, in each case upon and after the effectiveness of such amendments. (b) Fees and Expenses. The Borrower shall pay and reimburse on demand all reasonable costs and expenses of the Administrative Agent in connection with the preparation, reproduction, execution, and delivery of this Amendment and any other documents prepared in connection herewith, including, without limitation, the reasonable and documented fees and out-of-pocket expenses of counsel for the Administrative Agent in accordance with Section 10.4(a) of the Credit Agreement. (c) Headings. Section and subsection headings in this Amendment are included herein for convenience of reference only and shall not constitute a part of this Amendment for any other purpose or be given any substantive effect. 2


 
3 (d) Governing Law; Waiver of Jury Trial. This Amendment shall be governed by and construed in accordance with the laws of the State of New York, and shall be further subject to the provisions of Sections 10.7 and 10.11 of the Credit Agreement. (e) Counterparts. This Amendment may be executed in any number of counterparts and by different parties hereto in separate counterparts, each of which when so executed shall be deemed to be an original and all of which when taken together shall constitute one and the same agreement. Delivery of an executed counterpart of a signature page of this Amendment by facsimile or in electronic (i.e., “pdf” or “tif”) format shall be effective as delivery of a manually executed counterpart of this Amendment. (f) Entire Agreement. This Amendment, together with all the Loan Documents (collectively, the “Relevant Documents”), sets forth the entire understanding and agreement of the parties hereto in relation to the subject matter hereof and supersedes any prior negotiations and agreements among the parties relating to such subject matter. No promise, condition, representation or warranty, express or implied, not set forth in the Relevant Documents shall bind any party hereto, and no such party has relied on any such promise, condition, representation or warranty. Each of the parties hereto acknowledges that, except as otherwise expressly stated in the Relevant Documents, no representations, warranties or commitments, express or implied, have been made by any party to the other. None of the terms or conditions of this Amendment may be changed, modified, waived or canceled orally or otherwise except in a writing in accordance with Section 10.1 of the Credit Agreement. (g) Severability. In case any provision in this Amendment shall be held to be invalid, illegal or unenforceable, such provision shall be severable from the rest of this Amendment, and the validity, legality and enforceability of the remaining provisions shall not in any way be affected or impaired thereby. (h) Successors and Assigns. This Amendment shall be binding upon and inure to the benefit of the Borrower, the Administrative Agent, each Lender and their respective successors and assigns (subject to Section 10.6 of the Credit Agreement). [Remainder of Page Intentionally Left Blank; Signature Pages Follow]


 


 
M J M J D


 
G g M g G g M g


 
Kenneth E. Quinn Kenneth E. Quinn


 
AMENDMENT NO. 1 TO CREDIT AGREEMENT Signature Page JPMORGAN CHASE BANK, N.A., as Lender James Kyle O'Donnell James Kyle O'Donnell


 
Will Randall Will Randall S


 
AMENDMENT NO. 1 TO CREDIT AGREEMENT Signature Page TRUIST BANK, as Lender John P. Wofford John P. Wofford Au ho z Off


 
ANNEX A Credit Agreement See attached.


 
Published CUSIP Number: 19123LAA3 Revolving Credit CUSIP Number: 19123LAB1 $500,000,000 CREDIT AGREEMENT1 dated as of July 9, 2021, by and among COCA-COLA CONSOLIDATED, INC., as Borrower, the Lenders referred to herein, as Lenders, and WELLS FARGO BANK, NATIONAL ASSOCIATION, as Administrative Agent, Swingline Lender and Issuing Lender WELLS FARGO SECURITIES, LLC, CITIGROUP GLOBAL MARKETS INC. and PNC CAPITAL MARKETS LLC, as Joint Lead Arrangers and Joint Bookrunners CITIBANK, N.A. and PNC CAPITAL MARKETS LLC, as Co-Syndication Agents JPMORGAN CHASE BANK, N.A. and SOUTH STATE BANK, as Co-Documentation Agents 1 Composite copy incorporating Amendment No. 1 to Credit Agreement dated as February 1, 2023.


 
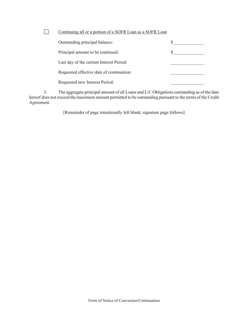
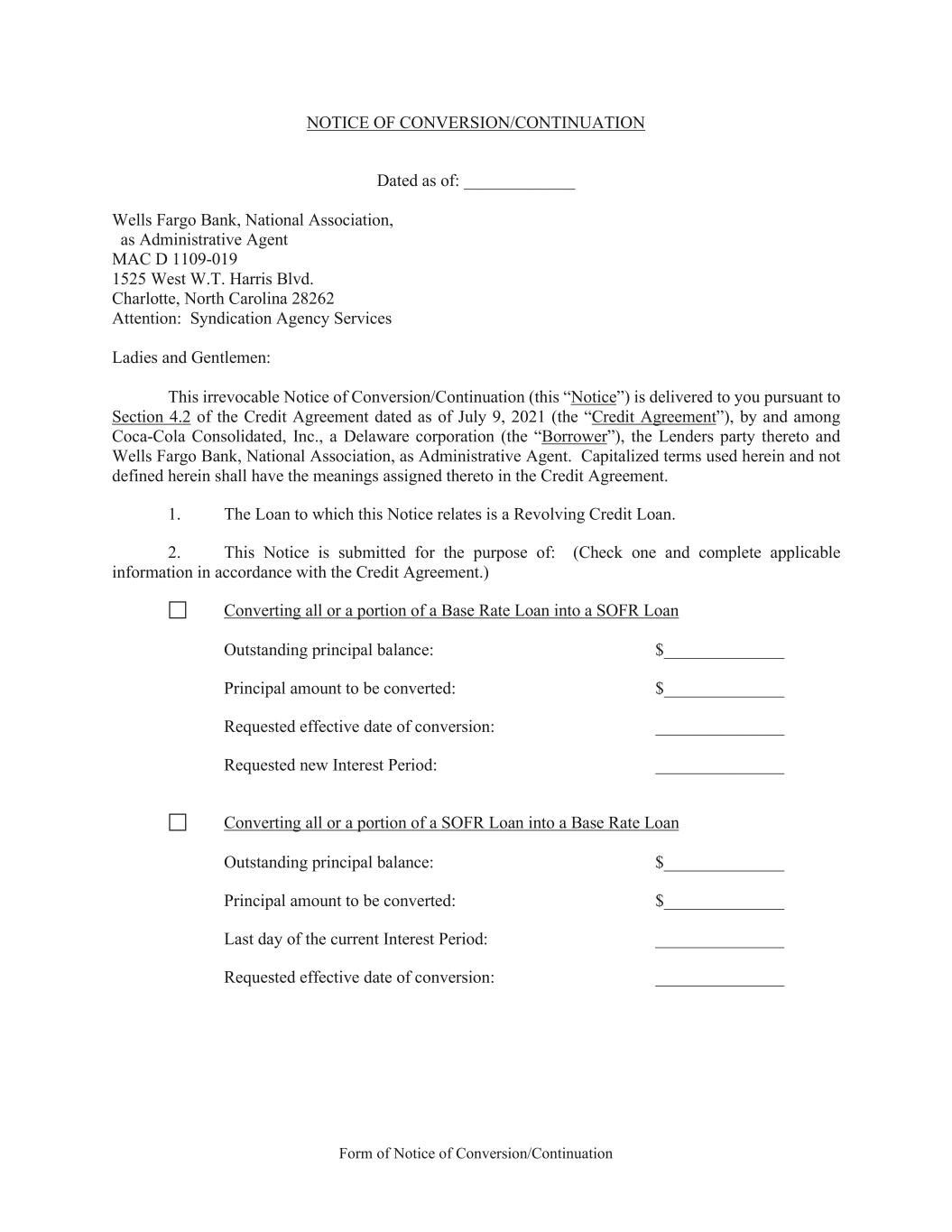
TABLE OF CONTENTS Page i ARTICLE I DEFINITIONS ................................................................................................................... 1 SECTION 1.1 Certain Defined Terms ................................................................................... 1 SECTION 1.2 Computation of Time Periods ...................................................................... 23 SECTION 1.3 Accounting Terms ........................................................................................ 23 SECTION 1.4 Rounding ...................................................................................................... 24 SECTION 1.5 References to Agreement and Laws ............................................................. 24 SECTION 1.6 Times of Day ................................................................................................ 24 SECTION 1.7 Rates ............................................................................................................. 24 SECTION 1.8 Divisions....................................................................................................... 25 ARTICLE II REVOLVING CREDIT FACILITY................................................................................ 25 SECTION 2.1 Revolving Credit Loans ............................................................................... 25 SECTION 2.2 Swingline Loans ........................................................................................... 25 SECTION 2.3 Procedure for Advances of Revolving Credit Loans and Swingline Loans ............................................................................................................ 27 SECTION 2.4 Repayment and Prepayment of Revolving Credit and Swingline Loans ............................................................................................................ 27 SECTION 2.5 Permanent Reduction of the Commitment ................................................... 28 SECTION 2.6 Termination of Revolving Credit Facility .................................................... 29 ARTICLE III LETTER OF CREDIT FACILITY .................................................................................. 29 SECTION 3.1 L/C Facility .................................................................................................. 29 SECTION 3.2 Procedure for Issuance of Letters of Credit .................................................. 30 SECTION 3.3 Commissions and Other Charges ................................................................. 30 SECTION 3.4 L/C Participations ......................................................................................... 31 SECTION 3.5 Reimbursement ............................................................................................. 32 SECTION 3.6 Obligations Absolute .................................................................................... 33 SECTION 3.7 Effect of Letter of Credit Documents ........................................................... 34 SECTION 3.8 Removal of Issuing Lenders ......................................................................... 34 SECTION 3.9 Reporting of Letter of Credit Information and L/C Commitment ................ 34 SECTION 3.10 Letters of Credit Issued for Subsidiaries ...................................................... 35 SECTION 3.11 Letter of Credit Amounts ............................................................................. 35 ARTICLE IV GENERAL LOAN PROVISIONS .................................................................................. 35 SECTION 4.1 Interest .......................................................................................................... 35 SECTION 4.2 Notice and Manner of Conversion or Continuation of Loans ...................... 36


 
TABLE OF CONTENTS (continued) Page ii SECTION 4.3 Fees .............................................................................................................. 37 SECTION 4.4 Manner of Payment ...................................................................................... 37 SECTION 4.5 Evidence of Indebtedness ............................................................................. 38 SECTION 4.6 Set-Off; Sharing of Payments by Lenders .................................................... 38 SECTION 4.7 Administrative Agent’s Clawback ............................................................... 39 SECTION 4.8 Changed Circumstances ............................................................................... 40 SECTION 4.9 [Reserved.] ................................................................................................... 42 SECTION 4.10 Increased Costs ............................................................................................. 42 SECTION 4.11 Taxes ............................................................................................................ 44 SECTION 4.12 Mitigation Obligations; Replacement of Lenders ........................................ 47 SECTION 4.13 Increase of Commitments ............................................................................. 48 SECTION 4.14 Cash Collateral ............................................................................................. 50 SECTION 4.15 Defaulting Lenders ....................................................................................... 50 ARTICLE V CONDITIONS OF LENDING ........................................................................................ 53 SECTION 5.1 Conditions Precedent of Initial Extension of Credit..................................... 53 SECTION 5.2 Conditions Precedent to Each Extension of Credit ...................................... 54 ARTICLE VI REPRESENTATIONS AND WARRANTIES ................................................................ 55 SECTION 6.1 Organization; Power; Qualification .............................................................. 55 SECTION 6.2 Authorization; Non-contravention; Compliance with Laws and Agreements................................................................................................... 55 SECTION 6.3 Governmental Approvals ............................................................................. 55 SECTION 6.4 Enforceability ............................................................................................... 55 SECTION 6.5 Financial Statements .................................................................................... 55 SECTION 6.6 Material Adverse Change ............................................................................. 56 SECTION 6.7 Litigation, Etc ............................................................................................... 56 SECTION 6.8 Margin Stock ................................................................................................ 56 SECTION 6.9 Investment Company Act ............................................................................. 56 SECTION 6.10 Accuracy of Disclosure ................................................................................ 56 SECTION 6.11 ERISA .......................................................................................................... 56 SECTION 6.12 Compliance with Laws ................................................................................. 56 SECTION 6.13 Tax Matters .................................................................................................. 56 SECTION 6.14 Subsidiaries .................................................................................................. 57 SECTION 6.15 Anti-Corruption Laws; Anti-Money Laundering Laws and Sanctions ........ 57


 
TABLE OF CONTENTS (continued) Page iii SECTION 6.16 Beneficial Ownership ................................................................................... 57 SECTION 6.17 Affected Financial Institution ....................................................................... 57 SECTION 6.18 Covered Entity.............................................................................................. 57 ARTICLE VII COVENANTS OF THE BORROWER ........................................................................... 57 SECTION 7.1 Financial Statements .................................................................................... 57 SECTION 7.2 Use of Proceeds ............................................................................................ 59 SECTION 7.3 Certain Notices ............................................................................................. 59 SECTION 7.4 Conduct of Business ..................................................................................... 59 SECTION 7.5 Taxes ............................................................................................................ 60 SECTION 7.6 Insurance ...................................................................................................... 60 SECTION 7.7 Compliance with Laws ................................................................................. 60 SECTION 7.8 Maintenance of Properties ............................................................................ 60 SECTION 7.9 Inspection ..................................................................................................... 60 SECTION 7.10 Merger .......................................................................................................... 60 SECTION 7.11 Preservation of Material Agreements ........................................................... 61 SECTION 7.12 Liens ............................................................................................................. 61 SECTION 7.13 Asset Dispositions ........................................................................................ 62 SECTION 7.14 Payment of Claims ....................................................................................... 62 SECTION 7.15 Subsidiary Debt ............................................................................................ 63 SECTION 7.16 Consolidated Cash Flow/Fixed Charges Ratio ............................................. 63 SECTION 7.17 Consolidated Funded Indebtedness/Cash Flow Ratio .................................. 63 ARTICLE VIII DEFAULT ....................................................................................................................... 63 SECTION 8.1 Events of Default .......................................................................................... 63 SECTION 8.2 Actions in Respect of Letters of Credit upon Default .................................. 65 SECTION 8.3 Exercise of Rights and Remedies ................................................................. 66 SECTION 8.4 Crediting of Payments and Proceeds ............................................................ 66 ARTICLE IX THE ADMINISTRATIVE AGENT ................................................................................ 67 SECTION 9.1 Appointment and Authority.......................................................................... 67 SECTION 9.2 Rights as a Lender ........................................................................................ 67 SECTION 9.3 Exculpatory Provisions ................................................................................ 67 SECTION 9.4 Reliance by the Administrative Agent ......................................................... 68 SECTION 9.5 Delegation of Duties ..................................................................................... 69


 
TABLE OF CONTENTS (continued) Page iv SECTION 9.6 Resignation of Administrative Agent ........................................................... 69 SECTION 9.7 Non-Reliance on Administrative Agent and Other Lenders ........................ 70 SECTION 9.8 No Other Duties, Etc .................................................................................... 71 SECTION 9.9 Administrative Agent May File Proofs of Claim ......................................... 71 SECTION 9.10 Certain ERISA Matters ................................................................................ 72 SECTION 9.11 Erroneous Payments ..................................................................................... 73 ARTICLE X MISCELLANEOUS ........................................................................................................ 74 SECTION 10.1 Amendments, Etc ......................................................................................... 74 SECTION 10.2 Notices, Etc .................................................................................................. 76 SECTION 10.3 No Waiver; Remedies .................................................................................. 79 SECTION 10.4 Costs, Expenses and Indemnification ........................................................... 79 SECTION 10.5 Binding Effect .............................................................................................. 81 SECTION 10.6 Successors and Assigns; Participations ........................................................ 81 SECTION 10.7 Governing Law; Submission to Jurisdiction ................................................ 84 SECTION 10.8 Severability................................................................................................... 85 SECTION 10.9 Counterparts; Integration; Effectiveness; Electronic Execution .................. 85 SECTION 10.10 Survival ........................................................................................................ 86 SECTION 10.11 Waiver of Jury Trial ..................................................................................... 86 SECTION 10.12 Confidentiality .............................................................................................. 86 SECTION 10.13 Nonliability of Lenders; No Advisory or Fiduciary Responsibility ............. 87 SECTION 10.14 USA PATRIOT Act; Anti-Money Laundering Laws .................................. 87 SECTION 10.15 Interest Rate Limitation ................................................................................ 88 SECTION 10.16 Acknowledgement and Consent to Bail-In of Affected Financial Institutions .................................................................................................... 88 SECTION 10.17 Acknowledgement Regarding Any Supported QFCs................................... 88


 
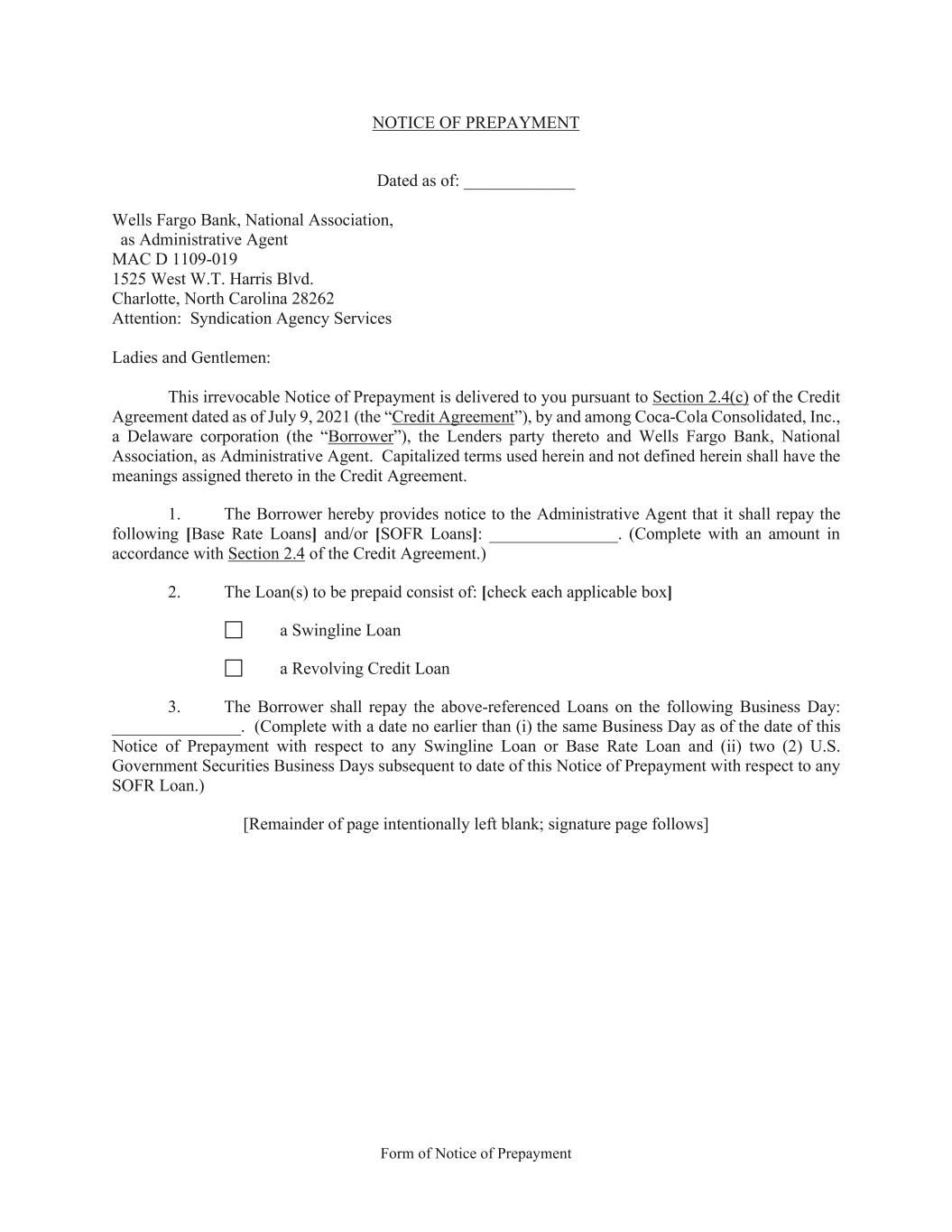
v EXHIBITS Exhibit A-1 - Form of Revolving Credit Note Exhibit A-2 - Form of Swingline Note Exhibit B - Form of Notice of Borrowing Exhibit C - Form of Notice of Account Designation Exhibit D - Form of Notice of Prepayment Exhibit E - Form of Notice of Conversion/Continuation Exhibit F - Form of Compliance Certificate Exhibit G - Form of Assignment and Assumption Exhibit H-1 - Form of U.S. Tax Compliance Certificate (Non-Partnership Foreign Lenders) Exhibit H-2 - Form of U.S. Tax Compliance Certificate (Non-Partnership Foreign Participants) Exhibit H-3 - Form of U.S. Tax Compliance Certificate (Foreign Participant Partnerships) Exhibit H-4 - Form of U.S. Tax Compliance Certificate (Foreign Lender Partnerships) Exhibit I - Form of Opinion of Counsel SCHEDULES Schedule 1.1 - Commitments and Commitment Percentages Schedule 6.7 - Litigation Schedule 6.13 - Tax Matters Schedule 6.14 - Subsidiaries Schedule 7.12 - Existing Liens Securing Indebtedness, in each case, of $5,000,000 or more Schedule 7.15 - Permitted Subsidiary Indebtedness


 
1 CREDIT AGREEMENT, dated as of July 9, 2021, by and among COCA-COLA CONSOLIDATED, INC., a Delaware corporation, as Borrower, the lenders who are party to this Agreement and the lenders who may become a party to this Agreement pursuant to the terms hereof, as Lenders, and WELLS FARGO BANK, NATIONAL ASSOCIATION, a national banking association, as Administrative Agent for the Lenders. STATEMENT OF PURPOSE WHEREAS, the Borrower has requested, and subject to the terms and conditions set forth in this Agreement, the Administrative Agent and the Lenders have agreed to extend, certain credit facilities to the Borrower. NOW, THEREFORE, for good and valuable consideration, the receipt and sufficiency of which are hereby acknowledged by the parties hereto, such parties hereby agree as follows: ARTICLE I DEFINITIONS SECTION 1.1 Certain Defined Terms. As used in this Agreement, the following terms shall have the following meanings (such meanings to be equally applicable to both the singular and plural forms of the terms defined): “Acquisition Cash Flow” means, with respect to any Person or assets, franchises or businesses acquired by the Borrower or any of its Consolidated Subsidiaries, operating income for any period of determination plus any amounts deducted for depreciation, amortization and operating lease expense in determining operating income during such period (to the extent not included in Consolidated Operating Income for such period), all determined using historical financial statements of such Person, assets, franchises or businesses acquired with appropriate adjustments thereto in order to reflect such operating income, depreciation, amortization and operating lease expense on an actual historical combined pro forma basis as if such Person, assets, franchises or businesses acquired had been owned by the Borrower or one of its Consolidated Subsidiaries during the applicable period. Operating income as used in the preceding sentence will be determined for the acquired Person, assets, franchises or businesses using the same method prescribed for determining Consolidated Operating Income. “Adjusted Term SOFR” means, for purposes of any calculation, the rate per annum equal to (a) Term SOFR for such calculation plus (b) the Term SOFR Adjustment; provided that if Adjusted Term SOFR as so determined shall ever be less than the Floor, then Adjusted Term SOFR shall be deemed to be the Floor. “Administrative Agent” means Wells Fargo, in its capacity as Administrative Agent hereunder, and any successor thereto appointed pursuant to Section 9.6. “Administrative Agent’s Office” means the office of the Administrative Agent specified in or determined in accordance with the provisions of Section 10.2(c). “Administrative Questionnaire” means an administrative questionnaire in a form supplied by the Administrative Agent. “Affected Financial Institution” means (a) any EEA Financial Institution or (b) any UK Financial Institution.


 
2 “Affiliate” means, with respect to a specified Person, another Person that directly, or indirectly through one or more intermediaries, Controls or is Controlled by or is under common Control with the Person specified. “Agent Parties” has the meaning assigned thereto in Section 10.2(e). “Agreement” means this Credit Agreement, as the same may be amended, amended and restated, supplemented or otherwise modified from time to time. “Anti-Corruption Laws” means all laws, rules, and regulations of any jurisdiction applicable to the Borrower or any of its Affiliates from time to time concerning or relating to bribery or corruption. “Applicable Law” means all applicable provisions of constitutions, laws, statutes, ordinances, rules, treaties, regulations, permits, licenses, approvals, interpretations and orders of Governmental Authorities and all orders and decrees of all courts and arbitrators. “Applicable Rate” means, for any day, with respect to any Loan, or with respect to the Facility Fee payable hereunder, as the case may be, the applicable rate per annum set forth below under the caption “Spread for Base Rate Loans”, “Spread for SOFR Loans” or “Facility Fee”, as the case may be, based upon the Ratings by Moody’s, S&P and Fitch, respectively, applicable on such date: Level Ratings S&P/Moody’s/Fitch Facility Fee Spread for SOFR Loans Spread for Base Rate Loans 1 > A / A2 / A 0.060% 0.690% 0.000% 2 A- / A3 / A- 0.075% 0.800% 0.000% 3 BBB+ /Baa1 / BBB+ 0.125% 0.875% 0.000% 4 BBB / Baa2 / BBB 0.150% 0.975% 0.000% 5 - / Baa3 / BBB- 0.175% 1.075% 0.075% For purposes of the foregoing: If the Borrower shall maintain a Rating from only two of Moody’s, S&P and Fitch and there is a one-notch split between the two Ratings, then the Level corresponding to the higher Rating shall apply, but if there is a more than one notch split in the two Ratings, then the Rating that is one notch higher than the lowest Rating shall apply. If the Borrower shall maintain a Rating from all three of Moody’s, S&P and Fitch and there is a difference in such Ratings, (i) if there is a one- notch split between the Ratings, then the Level corresponding to the higher Rating shall apply and (ii) if there is greater than a one-notch split between the Ratings, then the Level shall be based upon one Level higher than the Level corresponding to the lowest of the three Ratings shall apply. If any of Moody’s, S&P or Fitch shall not have in effect a Rating for the long-term senior unsecured non-credit-enhanced debt obligations of the Borrower then outstanding (other than by reason of the circumstances referred to in the last sentence of this paragraph), then, to the extent such rating agency is being used to determine the Level (it being understood and agreed that at least two rating agencies will be used to determine the Level at all times), such rating agency shall be deemed to


 
3 have established a Rating in Level 5. If the Ratings established or deemed to have been established by Moody’s, S&P and Fitch shall be changed (other than as a result of a change in the rating system of Moody’s, S&P or Fitch), such change shall be effective as of the date on which it is first announced by the applicable rating agency, irrespective of when notice of such change shall have been furnished by the Borrower to the Administrative Agent and the Lenders pursuant to Section 7.3 or otherwise. Each change in the Applicable Rate shall apply during the period commencing on the effective date of such change and ending on the date immediately preceding the effective date of the next such change. If the rating system of Moody’s, S&P or Fitch shall change, or if any such rating agency shall cease to be in the business of rating corporate debt obligations, the Borrower and the Lenders shall negotiate in good faith to amend the definition of Applicable Rate to reflect such changed rating system or the unavailability of Ratings from such rating agency and, pending the effectiveness of any such amendment, the Applicable Rate shall be determined by reference to the Rating most recently in effect prior to such change or cessation. “Arrangers” means, collectively, Wells Fargo Securities, LLC, Citibank, N.A. and PNC Capital Markets LLC in their capacity as joint lead arrangers and joint bookrunners. “Assignment and Assumption” means an assignment and assumption entered into by a Lender and an Eligible Assignee (with the consent of any party whose consent is required by Section 10.6), and accepted by the Administrative Agent, in substantially the form of Exhibit G or any other form approved by the Administrative Agent. “Available Tenor” means, as of any date of determination and with respect to the then-current Benchmark, as applicable, (a) if such Benchmark is a term rate, any tenor for such Benchmark (or component thereof) that is or may be used for determining the length of an interest period pursuant to this Agreement or (b) otherwise, any payment period for interest calculated with reference to such Benchmark (or component thereof) that is or may be used for determining any frequency of making payments of interest calculated with reference to such Benchmark, in each case, as of such date and not including, for the avoidance of doubt, any tenor for such Benchmark that is then-removed from the definition of “Interest Period” pursuant to Section 4.8(c)(iv). “Bail-In Action” means the exercise of any Write-Down and Conversion Powers by the applicable Resolution Authority in respect of any liability of an Affected Financial Institution. “Bail-In Legislation” means (a) with respect to any EEA Member Country implementing Article 55 of Directive 2014/59/EU of the European Parliament and of the Council of the European Union, the implementing law, regulation, rule or requirement for such EEA Member Country from time to time which is described in the EU Bail-In Legislation Schedule and (b) with respect to the United Kingdom, Part I of the United Kingdom Banking Act 2009 (as amended from time to time) and any other law, regulation or rule applicable in the United Kingdom relating to the resolution of unsound or failing banks, investment firms or other financial institutions or their affiliates (other than through liquidation, administration or other insolvency proceedings). “Bankruptcy Code” means 11 U.S.C. §§ 101 et seq. “Base Rate” means, at any time, the highest of (a) the Prime Rate, (b) the Federal Funds Rate plus 0.50% and (c) Adjusted Term SOFR for a one-month tenor in effect on such day plus 1.00%; each change in the Base Rate shall take effect simultaneously with the corresponding change or changes in the Prime Rate, the Federal Funds Rate or Adjusted Term SOFR, as applicable (provided that clause (c) shall not be applicable during any period in which Adjusted Term SOFR is unavailable or unascertainable).


 
4 “Base Rate Loan” means any Loan (other than a Swingline Loan) bearing interest at a rate based upon the Base Rate as provided in Section 4.1(a). “Benchmark” means, initially, the Term SOFR Reference Rate; provided that if a Benchmark Transition Event has occurred with respect to the Term SOFR Reference Rate or the then-current Benchmark, then “Benchmark” means the applicable Benchmark Replacement to the extent that such Benchmark Replacement has replaced such prior benchmark rate pursuant to Section 4.8(c)(i). “Benchmark Replacement” means, with respect to any Benchmark Transition Event, the sum of: (a) the alternate benchmark rate that has been selected by the Administrative Agent and the Borrower giving due consideration to (i) any selection or recommendation of a replacement benchmark rate or the mechanism for determining such a rate by the Relevant Governmental Body or (ii) any evolving or then- prevailing market convention for determining a benchmark rate as a replacement to the then-current Benchmark for Dollar-denominated syndicated credit facilities and (b) the related Benchmark Replacement Adjustment; provided that, if such Benchmark Replacement as so determined would be less than the Floor, such Benchmark Replacement will be deemed to be the Floor for the purposes of this Agreement and the other Loan Documents. “Benchmark Replacement Adjustment” means, with respect to any replacement of the then-current Benchmark with an Unadjusted Benchmark Replacement for any applicable Available Tenor, the spread adjustment, or method for calculating or determining such spread adjustment, (which may be a positive or negative value or zero) that has been selected by the Administrative Agent and the Borrower giving due consideration to (a) any selection or recommendation of a spread adjustment, or method for calculating or determining such spread adjustment, for the replacement of such Benchmark with the applicable Unadjusted Benchmark Replacement by the Relevant Governmental Body or (b) any evolving or then- prevailing market convention for determining a spread adjustment, or method for calculating or determining such spread adjustment, for the replacement of such Benchmark with the applicable Unadjusted Benchmark Replacement for Dollar-denominated syndicated credit facilities. “Benchmark Replacement Date” means the earliest to occur of the following events with respect to the then-current Benchmark: (a) in the case of clause (a) or (b) of the definition of “Benchmark Transition Event,” the later of (i) the date of the public statement or publication of information referenced therein and (ii) the date on which the administrator of such Benchmark (or the published component used in the calculation thereof) permanently or indefinitely ceases to provide all Available Tenors of such Benchmark (or such component thereof); or (b) in the case of clause (c) of the definition of “Benchmark Transition Event,” the first date on which such Benchmark (or the published component used in the calculation thereof) has been determined and announced by the regulatory supervisor for the administrator of such Benchmark (or such component thereof) to be non-representative; provided that such non-representativeness will be determined by reference to the most recent statement or publication referenced in such clause (c) and even if any Available Tenor of such Benchmark (or such component thereof) continues to be provided on such date. For the avoidance of doubt, the “Benchmark Replacement Date” will be deemed to have occurred in the case of clause (a) or (b) with respect to any Benchmark upon the occurrence of the applicable event or events set forth therein with respect to all then-current Available Tenors of such Benchmark (or the published component used in the calculation thereof).


 
5 “Benchmark Transition Event” means the occurrence of one or more of the following events with respect to the then-current Benchmark: (a) a public statement or publication of information by or on behalf of the administrator of such Benchmark (or the published component used in the calculation thereof) announcing that such administrator has ceased or will cease to provide all Available Tenors of such Benchmark (or such component thereof), permanently or indefinitely; provided that, at the time of such statement or publication, there is no successor administrator that will continue to provide any Available Tenor of such Benchmark (or such component thereof); (b) a public statement or publication of information by the regulatory supervisor for the administrator of such Benchmark (or the published component used in the calculation thereof), the Federal Reserve Board, the Federal Reserve Bank of New York, an insolvency official with jurisdiction over the administrator for such Benchmark (or such component), a resolution authority with jurisdiction over the administrator for such Benchmark (or such component) or a court or an entity with similar insolvency or resolution authority over the administrator for such Benchmark (or such component), which states that the administrator of such Benchmark (or such component) has ceased or will cease to provide all Available Tenors of such Benchmark (or such component thereof) permanently or indefinitely; provided that, at the time of such statement or publication, there is no successor administrator that will continue to provide any Available Tenor of such Benchmark (or such component thereof); or (c) a public statement or publication of information by the regulatory supervisor for the administrator of such Benchmark (or the published component used in the calculation thereof)announcing that all Available Tenors of such Benchmark (or such component thereof) are not, or as of a specified future date will not be, representative. For the avoidance of doubt, a “Benchmark Transition Event” will be deemed to have occurred with respect to any Benchmark if a public statement or publication of information set forth above has occurred with respect to each then-current Available Tenor of such Benchmark (or the published component used in the calculation thereof). “Benchmark Transition Start Date” means, in the case of a Benchmark Transition Event, the earlier of (a) the applicable Benchmark Replacement Date and (b) if such Benchmark Transition Event is a public statement or publication of information of a prospective event, the 90th day prior to the expected date of such event as of such public statement or publication of information (or if the expected date of such prospective event is fewer than 90 days after such statement or publication, the date of such statement or publication). “Benchmark Unavailability Period” means the period (if any) (x) beginning at the time that a Benchmark Replacement Date has occurred if, at such time, no Benchmark Replacement has replaced the then-current Benchmark for all purposes hereunder and under any Loan Document in accordance with Section 4.8(c)(i) and (y) ending at the time that a Benchmark Replacement has replaced the then-current Benchmark for all purposes hereunder and under any Loan Document in accordance with Section 4.8(c)(i). “Beneficial Ownership Certification” means a certification regarding beneficial ownership as required by the Beneficial Ownership Regulation. “Beneficial Ownership Regulation” means 31 C.F.R. § 1010.230.


 
6 “Benefit Plan” means any of (a) an “employee benefit plan” (as defined in ERISA) that is subject to Title I of ERISA, (b) a “plan” as defined in and subject to Section 4975 of the Code or (c) any Person whose assets include (for purposes of ERISA Section 3(42) or otherwise for purposes of Title I of ERISA or Section 4975 of the Code) the assets of any such “employee benefit plan” or “plan”. “Borrower” has the meaning set forth in the introduction hereto. “Borrower Materials” has the meaning assigned thereto in Section 7.1. “Business Day” means any day that is not a Saturday, Sunday or other day on which the Federal Reserve Bank of New York is closed. “Capitalized Lease” of a Person means any lease of Property by such Person as lessee which would be capitalized on a balance sheet of such Person prepared in accordance with GAAP (subject to the provisions of Section 1.3(d) hereof). “Capitalized Lease Obligations” of a Person means the amount of the obligations of such Person under Capitalized Leases which would be shown as a liability on a balance sheet of such Person prepared in accordance with GAAP (subject to the provisions of Section 1.3(d) hereof). “Cash Collateralize” means, to pledge and deposit with, or deliver to the Administrative Agent, or directly to the applicable Issuing Lender (with notice thereof to the Administrative Agent), for the benefit of one or more of the Issuing Lenders, the Swingline Lender or the Lenders, as collateral for L/C Obligations or obligations of the Lenders to fund participations in respect of L/C Obligations or Swingline Loans, cash or deposit account balances or, if the Administrative Agent and the applicable Issuing Lender and the Swingline Lender shall agree, in their sole discretion, other credit support, in each case pursuant to documentation in form and substance reasonably satisfactory to the Administrative Agent, such Issuing Lender and the Swingline Lender, as applicable. “Cash Collateral” shall have a meaning correlative to the foregoing and shall include the proceeds of such cash collateral and other credit support. “Change in Control” means that: (a) The Coca-Cola Company and any of its wholly-owned Subsidiaries shall cease to own, beneficially and of record, at least 10% of the outstanding capital stock of the Borrower; or (b) any “person” or “group” (as such terms are used for purposes of Sections 13(d) and 14(d) of the Exchange Act, whether or not applicable, except that for purposes of this paragraph (b) such person or group shall be deemed to have “beneficial ownership” of all shares that such person or group has the right to acquire, whether such right is exercisable immediately or only after the passage of time), other than (i) The Coca-Cola Company, (ii) other shareholders of the Borrower as of the date hereof and (iii) J. Frank Harrison III, his spouse and the lineal descendants of either of the foregoing (or trusts, corporations, partnerships, limited partnerships, limited liability companies or other estate planning vehicles for the benefit thereof), is or becomes the “beneficial owner” (as such term is used in Rule 13d-3 promulgated pursuant to the Exchange Act), directly or indirectly, of more than 50% of the aggregate voting power of all voting shares of the Borrower; or (c) during any period of 25 consecutive calendar months, a majority of the Board of Directors of the Borrower shall no longer be composed of individuals (i) who were members of said Board on the first day of such period, (ii) whose election or nomination to said Board was


 
7 approved by individuals referred to in clause (i) above constituting at the time of such election or nomination at least a majority of said Board and (iii) whose election or nomination to said Board was approved by individuals referred to in clauses (i) and (ii) above constituting at the time of such election or nomination at least a majority of said Board. “Change in Law” means the occurrence, after the date of this Agreement (or with respect to any Lender, if later, the date on which such Lender becomes a Lender), of any of the following: (a) the adoption or taking effect of any law, rule, regulation or treaty, (b) any change in any law, rule, regulation or treaty or in the administration, interpretation, implementation or application thereof by any Governmental Authority, or (c) the making or issuance of any request, rule, guideline, requirement or directive (whether or not having the force of law) by any Governmental Authority; provided, however, that notwithstanding anything herein to the contrary, (i) the Dodd-Frank Wall Street Reform and Consumer Protection Act and all requests, rules, guidelines, requirements and directives thereunder, issued in connection therewith or in implementation thereof, and (ii) all requests, rules, guidelines, requirements and directives promulgated by the Bank for International Settlements, the Basel Committee on Banking Supervision (or any successor or similar authority) or the United States or foreign regulatory authorities, in each case pursuant to Basel III, shall in each case be deemed to be a “Change in Law” regardless of the date enacted, adopted, issued or implemented. “Closing Date” means the date as of which the Administrative Agent notifies the Borrower that the conditions precedent set forth in Section 5.1 have been satisfied or waived. “Code” means the Internal Revenue Code of 1986, as amended from time to time. “Commitment” means (a) as to any Lender, the obligation of such Lender to make Revolving Credit Loans to, and to purchase participations in L/C Obligations and Swingline Loans for the account of, the Borrower hereunder in an aggregate principal amount at any time outstanding not to exceed the amount set forth opposite such Lender’s name on the Register, as such amount may be modified at any time or from time to time pursuant to the terms hereof (including Section 4.13) and (b) as to all Lenders, the aggregate commitment of all Lenders to make Revolving Credit Loans, as such amount may be modified at any time or from time to time pursuant to the terms hereof (including Section 4.13). The aggregate principal amount of Commitments on the Closing Date is Five Hundred Million Dollars ($500,000,000) and the Commitment of each Lender on the Closing Date is set forth opposite the name of such Lender on Schedule 1.1. “Commitment Date” has the meaning assigned thereto in Section 4.13(a). “Commitment Increase” has the meaning assigned thereto in Section 4.13(a). “Commitment Percentage” means, with respect to any Lender at any time, the percentage of the total Commitments of all the Lenders represented by such Lender’s Commitment. If the Commitments have terminated or expired, the Commitment Percentages shall be determined based upon the Commitments most recently in effect, giving effect to any assignments. The Commitment Percentage of each Lender on the Closing Date is set forth opposite the name of such Lender on Schedule 1.1. “Compliance Certificate” mean a certificate in substantially the form of Exhibit F. “Conforming Changes” means, with respect to either the use or administration of Term SOFR or the use, administration, adoption or implementation of any Benchmark Replacement, any technical, administrative or operational changes (including changes to the definition of “Base Rate,” the definition of “Business Day,” the definition of “U.S. Government Securities Business Day,” the definition of “Interest


 
8 Period” or any similar or analogous definition (or the addition of a concept of “interest period”), timing and frequency of determining rates and making payments of interest, timing of borrowing requests or prepayment, conversion or continuation notices, the applicability and length of lookback periods, the applicability of Section 10.4(d) and other technical, administrative or operational matters) that the Administrative Agent decides in consultation with the Borrower may be appropriate to reflect the adoption and implementation of any such rate or to permit the use and administration thereof by the Administrative Agent in a manner substantially consistent with market practice (or, if the Administrative Agent decides that adoption of any portion of such market practice is not administratively feasible or if the Administrative Agent determines that no market practice for the administration of any such rate exists, in such other manner of administration as the Administrative Agent decides is reasonably necessary in connection with the administration of this Agreement and the other Loan Documents). “Connection Income Taxes” means Other Connection Taxes that are imposed on or measured by net income (however denominated) or that are franchise Taxes or branch profits Taxes. “Consolidated” refers to the consolidation of accounts of the Borrower and its Subsidiaries in accordance with GAAP. “Consolidated Cash Flow” means, for any period, Consolidated Operating Income for such period plus (i) any amounts deducted for depreciation, amortization and operating lease expense, plus (ii) any impairment charges or asset write-down or write off related to intangible assets, long-lived assets and property, plant and equipment, solely to the extent that any such charges, write-down or write off described in this clause (ii) are non-cash items, in each case in determining Consolidated Operating Income, plus (iii) any non-cash pension charges related to benefit plan amendments or non-recurring or infrequent transactions, plus (iv) non-cash expenses related to stock based compensation, minus (v) the amount of the sub-bottling fee payments made to The Coca-Cola Company or one of its Subsidiaries in consideration for exclusive distribution rights to the Borrower or one of its Consolidated Subsidiaries during such applicable period. Consolidated Cash Flow shall exclude all non-cash credits or charges resulting from commodity hedging transactions. “Consolidated Cash Flow/Fixed Charges Ratio” means, at any time, the ratio of (i) Consolidated Cash Flow for the then most recently concluded period of four consecutive fiscal quarters of the Borrower to (ii) Consolidated Fixed Charges for such period. “Consolidated Fixed Charges” means, for any period, the sum of (i) Consolidated Net Interest Expense for such period, (ii) the amount of obligations of the Borrower and its Consolidated Subsidiaries as lessees, on leases other than Capitalized Leases, accrued during such period and (iii) payments made or required to be made by the Borrower and its Consolidated Subsidiaries during such period under agreements providing for or containing covenants not to compete. “Consolidated Funded Indebtedness” means, at any time, the aggregate outstanding principal amount of all Funded Indebtedness (other than (i) deferred compensation liabilities of the Borrower and its Consolidated Subsidiaries, (ii) Unfunded Benefit Liabilities of the Borrower and its Consolidated Subsidiaries and (iii) the amount of the sub-bottling fee liabilities to The Coca-Cola Company or one of its Subsidiaries in consideration for exclusive distribution rights to the Borrower or one of its Consolidated Subsidiaries) of the Borrower and its Consolidated Subsidiaries, determined and consolidated in accordance with GAAP. “Consolidated Funded Indebtedness/Cash Flow Ratio” means, at any time, the ratio of (a) the aggregate amount, without duplication, of (i) Consolidated Funded Indebtedness minus the Liquidity Amount and (ii) 50% of every Contingent Obligation of the Borrower and its Consolidated Subsidiaries


 
9 (other than any Contingent Obligation in respect of any operating lease), determined and consolidated in accordance with GAAP to (b) the aggregate of (i) Consolidated Cash Flow for the then most recently concluded period of four consecutive fiscal quarters of the Borrower and (ii) Acquisition Cash Flow for such period. “Consolidated Net Interest Expense” means, for any period, the aggregate net amount of interest payments of the Borrower and its Consolidated Subsidiaries, determined and consolidated in accordance with GAAP, excluding, however, such amounts as arise from the amortization of capitalized interest, discount and fees reflected as an asset on the Borrower’s books and records on the Closing Date. “Consolidated Operating Income” means, for any period, the net income of the Borrower and its Consolidated Subsidiaries, before any deduction in respect of interest or taxes, determined and consolidated in accordance with GAAP, excluding, however, extraordinary items in accordance with GAAP (which shall include without limitation, in any event, any income, net of expenses, or loss realized by the Borrower or any Consolidated Subsidiary from any sale of assets outside the ordinary course of business, whether tangible or intangible, including franchise territories and securities). “Consolidated Total Assets” means, as of the date of any determination thereof, total assets of the Borrower and its Subsidiaries calculated in accordance with GAAP on a consolidated basis as of such date. “Contingent Obligation” of a Person means any agreement, undertaking or arrangement by which such Person assumes, guarantees, endorses, contingently agrees to purchase or provide funds for the payment of, or otherwise becomes or is contingently liable upon, the financial obligation or liability of any other Person, or agrees to maintain the net worth or working capital or other financial condition of any other Person, or otherwise assures any creditor of such other Person against loss, including, without limitation, any comfort letter, operating agreement, take- or-pay contract or application for a letter of credit, but excluding the endorsement of instruments for deposit or collection in the ordinary course of business. “Control” means the possession, directly or indirectly, of the power to direct or cause the direction of the management or policies of a Person, whether through the ability to exercise voting power, by contract or otherwise. “Controlling” and “Controlled” have meanings correlative thereto. “Controlled Group” means all members of a controlled group of corporations and all trades or businesses (whether or not incorporated) under common control which, together with the Borrower or any of its Subsidiaries, are treated as a single employer under Section 414 of the Code. “Credit Facility” means, collectively, the Revolving Credit Facility, the Swingline Facility and the L/C Facility. “Credit Party” means the Administrative Agent, any Issuing Lender, any Lender or any Arranger. “Debtor Relief Laws” means the Bankruptcy Code of the United States of America, and all other liquidation, conservatorship, bankruptcy, assignment for the benefit of creditors, moratorium, rearrangement, receivership, insolvency, reorganization, or similar debtor relief laws of the United States or other applicable jurisdictions from time to time in effect. “Default” means an event that, with notice or lapse of time or both, would become an Event of Default. “Defaulting Lender” means, subject to Section 4.15(b), any Lender that (a) has failed to (i) fund all or any portion of the Revolving Credit Loans required to be funded by it hereunder within two (2) Business


 
10 Days of the date such Loans were required to be funded hereunder unless such Lender notifies the Administrative Agent and the Borrower in writing that such failure is the result of such Lender’s determination that one or more conditions precedent to funding (each of which conditions precedent, together with any applicable default, shall be specifically identified in such writing) has not been satisfied, or (ii) pay to the Administrative Agent, any Issuing Lender, the Swingline Lender or any other Lender any other amount required to be paid by it hereunder (including in respect of participations in Letters of Credit or Swingline Loans) within two Business Days of the date when due, (b) has notified the Borrower, the Administrative Agent, any Issuing Lender or the Swingline Lender in writing that it does not intend to comply with its funding obligations hereunder, or has made a public statement to that effect (unless such writing or public statement relates to such Lender’s obligation to fund a Loan hereunder and states that such position is based on such Lender’s determination that a condition precedent to funding (which condition precedent, together with any applicable default, shall be specifically identified in such writing or public statement) cannot be satisfied), (c) has failed, within three (3) Business Days after written request by the Administrative Agent or the Borrower, to confirm in writing to the Administrative Agent and the Borrower that it will comply with its prospective funding obligations hereunder (provided that such Lender shall cease to be a Defaulting Lender pursuant to this clause (c) upon receipt of such written confirmation by the Administrative Agent and the Borrower), or (d) has, or has a direct or indirect parent company that has, (i) become the subject of a proceeding under any Debtor Relief Law, (ii) had appointed for it a receiver, custodian, conservator, trustee, administrator, assignee for the benefit of creditors or similar Person charged with reorganization or liquidation of its business or assets, including the FDIC or any other state or federal regulatory authority acting in such a capacity or (iii) become the subject of a Bail-In Action; provided that a Lender shall not be a Defaulting Lender solely by virtue of the ownership or acquisition of any equity interest in that Lender or any direct or indirect parent company thereof by a Governmental Authority so long as such ownership interest does not result in or provide such Lender with immunity from the jurisdiction of courts within the United States or from the enforcement of judgments or writs of attachment on its assets or permit such Lender (or such Governmental Authority) to reject, repudiate, disavow or disaffirm any contracts or agreements made with such Lender. Any determination by the Administrative Agent that a Lender is a Defaulting Lender under any one or more of clauses (a) through (d) above shall be conclusive and binding absent manifest error, and such Lender shall be deemed to be a Defaulting Lender (subject to Section 4.15(b)) upon delivery of written notice of such determination to the Borrower, each Issuing Lender, the Swingline Lender and each Lender. “Dollars” or “$” means the lawful currency of the United States of America. “EEA Financial Institution” means (a) any credit institution or investment firm established in any EEA Member Country which is subject to the supervision of an EEA Resolution Authority, (b) any entity established in an EEA Member Country which is a parent of an institution described in clause (a) of this definition, or (c) any financial institution established in an EEA Member Country which is a subsidiary of an institution described in clauses (a) or (b) of this definition and is subject to consolidated supervision with its parent. “EEA Member Country” means any of the member states of the European Union, Iceland, Liechtenstein, and Norway. “EEA Resolution Authority” means any public administrative authority or any Person entrusted with public administrative authority of any EEA Member Country (including any delegee) having responsibility for the resolution of any credit institution or investment firm established in any EEA Member Country. “Electronic Record” has the meaning assigned to that term in, and shall be interpreted in accordance with, 15 U.S.C. 7006.


 
11 “Electronic Signature” has the meaning assigned to that term in, and shall be interpreted in accordance with, 15 U.S.C. 7006. “Eligible Assignee” means any Person that meets the requirements to be an assignee under Section 10.6(b)(iii) and (v) (subject to such consents, if any, as may be required under Section 10.6(b)(iii)). “Environmental Law” means any Federal, state or local governmental law, rule, regulation, order, writ, judgment, injunction or decree relating to pollution or protection of the environment or the treatment, storage, disposal, release, threatened release or handling of Hazardous Materials, including, without limitation, the Comprehensive Environmental Response, Compensation and Liability Act of 1980, the Resource Conservation and Recovery Act, the Hazardous Materials Transportation Act, the Clean Water Act, the Toxic Substances Control Act, the Clean Air Act, the Safe Drinking Water Act, the Atomic Energy Act and the Federal Insecticide, Fungicide and Rodenticide Act, in each case, as amended from time to time. “Equity Interests” means (a) in the case of a corporation, capital stock, (b) in the case of an association or business entity, any and all shares, interests, participations, rights or other equivalents (however designated) of capital stock, (c) in the case of a partnership, partnership interests (whether general or limited), (d) in the case of a limited liability company, membership interests, (e) any other interest or participation that confers on a Person the right to receive a share of the profits and losses of, or distributions of assets of, the issuing Person and (f) any and all warrants, rights or options to purchase any of the foregoing. “ERISA” means the Employee Retirement Income Security Act of 1974, as amended from time to time, and the regulations promulgated and rulings issued thereunder. “Erroneous Payment” has the meaning assigned thereto in Section 9.11(a). “Erroneous Payment Deficiency Assignment” has the meaning assigned thereto in Section 9.11(d). “Erroneous Payment Return Deficiency” has the meaning assigned thereto in Section 9.11(d). “EU Bail-In Legislation Schedule” means the EU Bail-In Legislation Schedule published by the Loan Market Association (or any successor thereto), as in effect from time to time. “Events of Default” has the meaning set forth in Section 8.1. “Exchange Act” means the Securities Exchange Act of 1934, as amended from time to time “Excluded Representations” means the representations and warranties set forth in Section 6.6, Section 6.7 and Section 6.14. “Excluded Taxes” means any of the following Taxes imposed on or with respect to a Recipient or required to be withheld or deducted from a payment to a Recipient, (a) Taxes imposed on or measured by net income (however denominated), franchise Taxes, and branch profits Taxes, in each case, (i) imposed as a result of such Recipient being organized under the laws of, or having its principal office or, in the case of any Lender, its applicable Lending Office located in, the jurisdiction imposing such Tax (or any political subdivision thereof) or (ii) that are Other Connection Taxes, (b) in the case of a Lender, United States federal withholding Taxes imposed on amounts payable to or for the account of such Lender with respect to an applicable interest in a Loan or Commitment pursuant to a law in effect on the date on which (i) such Lender acquires such interest in the Loan or Commitment (other than pursuant to an assignment request by the Borrower under Section 4.12(b)) or (ii) such Lender changes its Lending Office, except in each case to


 
12 the extent that, pursuant to Section 4.11, amounts with respect to such Taxes were payable either to such Lender’s assignor immediately before such Lender became a party hereto or to such Lender immediately before it changed its Lending Office, (c) Taxes attributable to such Recipient’s failure to comply with Section 4.11(g) and (d) any withholding Taxes imposed under FATCA. “Extensions of Credit” means, as to any Lender at any time, (a) an amount equal to the sum of (i) the aggregate principal amount of all Revolving Credit Loans made by such Lender then outstanding, (ii) such Lender’s Commitment Percentage of the L/C Obligations then outstanding and (iii) such Lender’s Commitment Percentage of the Swingline Loans then outstanding, or (b) the making of any Loan or participation in any Letter of Credit by such Lender, as the context requires. “Facility Fee” has the meaning set forth in Section 4.3(a). “FATCA” means Sections 1471 through 1474 of the Code, as of the date of this Agreement (or any amended or successor version that is substantively comparable and not materially more onerous to comply with), any current or future regulations or official interpretations thereof, any agreement entered into pursuant to Section 1471(b)(1) of the Code and any fiscal or regulatory legislation, rules or practices adopted pursuant to any intergovernmental agreement, treaty or convention among Governmental Authorities and implementing such Sections of the Code. “FDIC” means the Federal Deposit Insurance Corporation. “Federal Funds Rate” means, for any day, the rate per annum equal to the weighted average of the rates on overnight federal funds transactions with members of the Federal Reserve System, as published by the Federal Reserve Bank of New York on the Business Day next succeeding such day, provided that if such rate is not so published for any day which is a Business Day, the Federal Funds Rate for such day shall be the average of the quotation for such day on such transactions received by the Administrative Agent from three federal funds brokers of recognized standing selected by the Administrative Agent. Notwithstanding the foregoing, if the Federal Funds Rate shall be less than zero, such rate shall be deemed to be zero for purposes of this Agreement. “Federal Reserve Board” means the Board of Governors of the Federal Reserve System of the United States of America. “Fee Letters” means, collectively, (a) the separate fee letter agreement dated June 11, 2021 among the Borrower, Wells Fargo and Wells Fargo Securities LLC, (b) the separate fee letter agreements between or among the Borrower, any other Arranger and/or any Affiliate of such Arranger and (c) any letter between the Borrower and any Issuing Lender (other than Wells Fargo) relating to certain fees payable to such Issuing Lender in its capacity as such. “Fitch” means Fitch Ratings Inc. and its successors. “Fitch Rating” means, at any time, the rating of the long-term senior unsecured non- credit- enhanced debt obligations of the Borrower then outstanding most recently announced by Fitch. “Floor” means a rate of interest equal to 0.00%. “Foreign Lender” means (a) if the Borrower is a U.S. Person, a Lender that is not a U.S. Person, and (b) if the Borrower is not a U.S. Person, a Lender that is resident or organized under the laws of a jurisdiction other than that in which the Borrower is resident for tax purposes.


 
13 “Fronting Exposure” means, at any time there is a Defaulting Lender, (a) with respect to any Issuing Lender, such Defaulting Lender’s Commitment Percentage of the outstanding L/C Obligations with respect to Letters of Credit issued by such Issuing Lender, other than such L/C Obligations as to which such Defaulting Lender’s participation obligation has been reallocated to other Lenders or Cash Collateralized in accordance with the terms hereof and (b) with respect to the Swingline Lender, such Defaulting Lender’s Commitment Percentage of outstanding Swingline Loans other than Swingline Loans as to which such Defaulting Lender’s participation obligation has been reallocated to other Lenders or Cash Collateralized in accordance with the terms hereof. “Funded Indebtedness” of a Person shall mean (i) all liabilities of such Person of the kinds referred to in clauses (i), (ii), (iii), (iv) and (v) of the definition of “Indebtedness” herein, including without limitation commercial paper, of any maturity, and (ii) other indebtedness (including the current portion thereof) of such Person which would be classified in whole or part as a long-term liability of such Person in accordance with GAAP, and shall in any event include (i) any Indebtedness having a final maturity more than one year from the date of creation of such Indebtedness and (ii) any Indebtedness, regardless of its term, which is renewable or extendable by such Person (pursuant to the terms thereof or pursuant to a revolving credit or similar agreement or otherwise) to a date more than one year from the date of creation of such Indebtedness or any date of determination of Funded Indebtedness. “GAAP” means generally accepted accounting principles in the United States of America in effect from time to time (subject to the provisions of Section 1.3(d) hereof). “Governmental Authority” means the federal government, any state or other political subdivision thereof and any entity exercising executive, legislative, judicial, regulatory or administrative functions of or pertaining to government. “Hazardous Materials” means petroleum or petroleum products, natural or synthetic gas, asbestos in any form that is or could become friable, and radon gas, any substances defined as or included in the definition of “hazardous substances”, “hazardous wastes”, “hazardous materials”, “extremely hazardous wastes”, “restricted hazardous wastes”, “toxic substances”, “toxic pollutants”, “contaminants” or “pollutants”, or words of similar meaning and regulatory effect, under any Environmental Law and any other substance exposure to which is regulated under any Environmental Law. “Hedge Agreement” means (a) any and all rate swap transactions, basis swaps, credit derivative transactions, forward rate transactions, commodity swaps, commodity options, forward commodity contracts, equity or equity index swaps or options, bond or bond price or bond index swaps or options or forward bond or forward bond price or forward bond index transactions, interest rate options, forward foreign exchange transactions, cap transactions, floor transactions, collar transactions, currency swap transactions, cross-currency rate swap transactions, currency options, spot contracts, or any other similar transactions or any combination of any of the foregoing (including any options to enter into any of the foregoing), whether or not any such transaction is governed by or subject to any master agreement, and (b) any and all transactions of any kind, and the related confirmations, which are subject to the terms and conditions of, or governed by, any form of master agreement published by the International Swaps and Derivatives Association, Inc., any International Foreign Exchange Master Agreement, or any other master agreement. “Increasing Lender” has the meaning assigned thereto in Section 4.13(a). “Indebtedness” of a Person means, without duplication, such Person’s (i) obligations for borrowed money, (ii) obligations representing the deferred purchase price of Property or services (excluding accounts payable arising in the ordinary course of such Person’s business payable on terms customary in the trade),


 
14 (iii) obligations, whether or not assumed, secured by Liens or payable out of the proceeds or production from Property now or hereafter owned or acquired by such Person, (iv) obligations which are evidenced by notes, acceptances, or similar instruments, (v) Capitalized Lease Obligations, (vi) net Rate Hedging Obligations, (vii) Contingent Obligations in respect of Indebtedness, (viii) obligations for which such Person is obligated pursuant to or in respect of a letter of credit and (ix) repurchase obligations or liabilities of such Person with respect to accounts, notes receivable or securities sold by such Person. “Indemnified Party” has the meaning assigned thereto in Section 10.4(b). “Indemnified Taxes” means (a) Taxes, other than Excluded Taxes, imposed on or with respect to any payment made by or on account of any obligation of the Borrower under any Loan Document and (b) to the extent not otherwise described in clause (a), Other Taxes. “Information” has the meaning assigned thereto in Section 10.12. “Initial Issuing Lender” means (a) Wells Fargo, (b) Citibank, N.A. and (c) PNC Bank, National Association. “Interest Period” means, as to any SOFR Loan, the period commencing on the date such SOFR Loan is disbursed or converted to or continued as a SOFR Loan and ending on the date one (1), three (3), or six (6) months thereafter, in each case as selected by the Borrower in its Notice of Borrowing or Notice of Conversion/Continuation and subject to availability; provided that: (a) the Interest Period shall commence on the date of advance of or conversion to any SOFR Loan and, in the case of immediately successive Interest Periods, each successive Interest Period shall commence on the date on which the immediately preceding Interest Period expires; (b) if any Interest Period would otherwise expire on a day that is not a Business Day, such Interest Period shall expire on the next succeeding Business Day; provided that if any Interest Period would otherwise expire on a day that is not a Business Day but is a day of the month after which no further Business Day occurs in such month, such Interest Period shall expire on the immediately preceding Business Day; (c) any Interest Period that begins on the last Business Day of a calendar month (or on a day for which there is no numerically corresponding day in the calendar month at the end of such Interest Period) shall end on the last Business Day of the relevant calendar month at the end of such Interest Period; (d) no Interest Period shall extend beyond the Maturity Date; and (e) no tenor that has been removed from this definition pursuant to Section 4.8(c)(iv) shall be available for specification in any Notice of Borrowing or Notice of Conversion/Continuation. “Investment Company Act” means the Investment Company Act of 1940 (15 U.S.C. § 80(a)(1), et seq.). “IRS” means the United States Internal Revenue Service. “ISP” means the International Standby Practices, International Chamber of Commerce Publication No. 590 (or such later version thereof as may be in effect at the applicable time).


 
15 “Issuing Lender” means (i) the Initial Issuing Lenders and (ii) any other Lender to the extent it has agreed in its sole discretion to act as an “Issuing Lender” hereunder and that has been approved in writing by the Borrower and the Administrative Agent (such approval by the Administrative Agent not to be unreasonably delayed or withheld) as an “Issuing Lender” hereunder, in each case in its capacity as issuer of any Letter of Credit. “L/C Commitment” means, as to any Issuing Lender, the obligation of such Issuing Lender to issue Letters of Credit for the account of the Borrower or one or more of its Subsidiaries from time to time in an aggregate amount equal to (a) for each of the Initial Issuing Lenders, the amount set forth opposite the name of each such Initial Issuing Lender on Schedule 1.1 and (b) for any other Issuing Lender becoming an Issuing Lender after the Closing Date, such amount as separately agreed to in a written agreement between the Borrower and such Issuing Lender (which such agreement shall be promptly delivered to the Administrative Agent upon execution), in each case of clauses (a) and (b) above, any such amount may be changed after the Closing Date in a written agreement between the Borrower and such Issuing Lender (which such agreement shall be promptly delivered to the Administrative Agent upon execution); provided that the L/C Commitment with respect to any Person that ceases to be an Issuing Lender for any reason pursuant to the terms hereof shall be $0 (subject to the Letters of Credit of such Person remaining outstanding in accordance with the provisions hereof). “L/C Facility” means the letter of credit facility established pursuant to Article III. “L/C Obligations” means at any time, an amount equal to the sum of (a) the aggregate undrawn and unexpired amount of the then outstanding Letters of Credit and (b) the aggregate amount of drawings under Letters of Credit which have not then been reimbursed pursuant to Section 3.5. “L/C Participants” means, with respect to any Letter of Credit, the collective reference to all the Lenders other than the applicable Issuing Lender. “L/C Sublimit” means the lesser of (a) $75,000,000 and (b) the aggregate amount of the Commitments. “Lender” means each Person executing this Agreement as a Lender on the Closing Date and any other Person that shall have become a party to this Agreement as a Lender pursuant to an Assignment and Assumption or pursuant to Section 4.13, other than any Person that ceases to be a party hereto as a Lender pursuant to an Assignment and Assumption. Unless the context otherwise requires, the term “Lenders” includes the Swingline Lender. “Lending Office” means, with respect to any Lender, the office of such Lender maintaining such Lender’s Extensions of Credit, which office may, to the extent the applicable Lender notifies the Administrative Agent in writing, include an office of any Affiliate of such Lender or any domestic or foreign branch of such Lender or Affiliate. “Letter of Credit Application” means an application requesting the applicable Issuing Lender to issue a Letter of Credit in the form specified by the applicable Issuing Lender from time to time. “Letter of Credit Documents” means with respect to any Letter of Credit, such Letter of Credit, the Letter of Credit Application, a letter of credit agreement or reimbursement agreement and any other document, agreement and instrument required by the applicable Issuing Lender and relating to such Letter of Credit, in each case in the form specified by the applicable Issuing Lender from time to time. “Letters of Credit” means the collective reference to letters of credit issued pursuant to Section 3.1.


 
16 “Lien” means any lien, mortgage, security interest or other charge or encumbrance of any kind, or any other type of preferential arrangement having substantially the same effect as a lien, including, without limitation, the lien or retained security title of a conditional vendor. “Liquidity Amount” means, as at any date of determination, the lesser of (i) the aggregate amount of unrestricted and unencumbered cash maintained by the Borrower and its Subsidiaries in the United States as of such date and (ii) $20,000,000. “Loan Documents” means this Agreement, any Note and any Letter of Credit Document. Any reference in this Agreement or any other Loan Document to a Loan Document shall include all appendices, exhibits or schedules thereto, and all amendments, restatements, supplements or other modifications thereto, and shall refer to this Agreement or such Loan Document as the same may be in effect at any and all times such reference becomes operative. “Loans” means the collective reference to the Revolving Credit Loans and the Swingline Loans, and “Loan” means any of such Loans. “Margin Stock” means margin stock within the meaning of Regulation U. “Material Adverse Change” or “Material Adverse Effect” means a material adverse change in or, as the case may be, effect on (i) the business, condition (financial or otherwise), or operations of the Borrower and its Consolidated Subsidiaries taken as a whole, (ii) the legality, validity or enforceability of this Agreement or (iii) the ability of the Borrower to pay and perform its obligations hereunder. “Material Indebtedness” has the meaning set forth in Section 8.1(d). “Material Subsidiary” means a Subsidiary which (i) owns, leases or occupies any building, structure or other facility used primarily for the bottling, canning or packaging of soft drinks or soft drink products or warehousing and distributing of such products, other than any such building, structure or other facility or portion thereof, which is not of material importance to the total business conducted by the Borrower and its Subsidiaries as an entirety, (ii) is a party to any contract with respect to the bottling, canning, packaging or distribution of soft drinks or soft drink products, other than any such contract which is not of material importance to the total business conducted by the Borrower and its Subsidiaries as an entirety, and in any event includes each of the Subsidiaries indicated as Material Subsidiaries listed in Schedule 6.14 as of the date hereof, and (iii) any Subsidiary of the Borrower that would qualify as a “significant subsidiary” under Regulation S-X of the Securities and Exchange Commission (or its successor agency). “Maturity Date” means the earliest to occur of (a) July 9, 2026, (b) the date of termination of the entire Commitment by the Borrower pursuant to Section 2.5, and (c) the date of termination of the Commitments pursuant to Section 8.1. “Minimum Collateral Amount” means, at any time, (a) with respect to Cash Collateral consisting of cash or deposit account balances provided to reduce or eliminate Fronting Exposure during the existence of a Defaulting Lender, an amount equal to 103% of the Fronting Exposure of the Issuing Lenders with respect to Letters of Credit issued and outstanding at such time, and (b) with respect to Cash Collateral consisting of cash or deposit account balances provided in accordance with the provisions of Section 8.2(b), an amount equal to 103% of the aggregate outstanding amount of all L/C Obligations. “Moody’s” means Moody’s Investors Service, Inc. and its successors.


 
17 “Moody’s Rating” means, at any time, the rating of the long-term senior unsecured non- credit- enhanced debt obligations of the Borrower then outstanding most recently announced by Moody’s. “Multiemployer Plan” means any employee benefit plan which is a “multiemployer plan” within the meaning of Section 4001(a)(3) of ERISA and to which the Borrower or any member of a Controlled Group has or had an obligation to contribute. “Non-Consenting Lender” means any Lender that does not approve any consent, waiver, amendment, modification or termination that (a) requires the approval of all Lenders or all affected Lenders in accordance with the terms of Section 10.1 and (b) has been approved by the Required Lenders. “Non-Defaulting Lender” means, at any time, each Lender that is not a Defaulting Lender at such time. “Notes” means the collective reference to the Revolving Credit Notes and the Swingline Note. “Notice of Account Designation” has the meaning set forth in Section 2.3(b). “Notice of Borrowing” has the meaning set forth in Section 2.3(a). “Notice of Conversion/Continuation” has the meaning set forth in Section 4.2. “Notice of Increase” has the meaning set forth in Section 4.13(a). “Notice of Prepayment” has the meaning set forth in Section 2.4(c). “Obligations” means, in each case, whether now in existence or hereafter arising: (a) the principal of and interest on (including interest accruing after the filing of any bankruptcy or similar petition) the Loans, (b) the L/C Obligations and (c) all other fees and commissions (including attorneys’ fees), charges, indebtedness, loans, liabilities, financial accommodations, obligations, covenants and duties owing by the Borrower to the Lenders, the Issuing Lenders or the Administrative Agent, in each case under any Loan Document, with respect to any Loan or Letter of Credit of every kind, nature and description, direct or indirect, absolute or contingent, due or to become due, contractual or tortious, liquidated or unliquidated, and whether or not evidenced by any note and including interest and fees that accrue after the commencement by or against the Borrower of any proceeding under any Debtor Relief Laws, naming such Person as the debtor in such proceeding, regardless of whether such interest and fees are allowed claims in such proceeding. “OFAC” means the U.S. Department of the Treasury’s Office of Foreign Assets Control. “Other Connection Taxes” means, with respect to any Recipient, Taxes imposed as a result of a present or former connection between such Recipient and the jurisdiction imposing such Tax (other than connections arising from such Recipient having executed, delivered, become a party to, performed its obligations under, received payments under, received or perfected a security interest under, engaged in any other transaction pursuant to or enforced any Loan Document, or sold or assigned an interest in any Loan or Loan Document). “Other Taxes” means all present or future stamp, court, documentary, intangible, recording, filing or similar Taxes that arise from any payment made under, from the execution, delivery, performance, enforcement or registration of, from the receipt or perfection of a security interest under, or otherwise with


 
18 respect to, any Loan Document, except any such Taxes that are Other Connection Taxes imposed with respect to an assignment (other than an assignment made pursuant to Section 4.12). “Participant” has the meaning assigned thereto in Section 10.6(d). “Participant Register” has the meaning specified in Section 10.6(d). “PATRIOT Act” has the meaning specified in Section 10.14. “Payment Default” means an event that, with notice or lapse of time or both, would become an Event of Default under Section 8.1(a). “Payment Recipient” has the meaning assigned thereto in Section 9.11(a). “PBGC” means the Pension Benefit Guaranty Corporation or any successor. “Person” means an individual, partnership, corporation (including a business trust), limited liability company, joint stock company, trust, unincorporated association, joint venture or other entity, or a government or any political subdivision or agency thereof. “Plan” means an employee pension benefit plan (other than a Multiemployer Plan) to which Section 4021 of ERISA applies and (i) which is maintained for employees of the Borrower or any member of a Controlled Group or (ii) to which the Borrower or any member of a Controlled Group made, or was required to make, contributions at any time within the preceding five years. “Plan Asset Regulations” means 29 CFR § 2510.3-101 et seq., as modified by Section 3(42) of ERISA, as amended from time to time. “Platform” means Debt Domain, Intralinks, SyndTrak or a substantially similar electronic transmission system. “Prime Rate” means, at any time, the rate of interest per annum publicly announced from time to time by the Administrative Agent as its prime rate. Each change in the Prime Rate shall be effective as of the opening of business on the day such change in such prime rate occurs. The parties hereto acknowledge that the rate announced publicly by the Administrative Agent as its prime rate is an index or base rate and shall not necessarily be its lowest or best rate charged to its customers or other banks. “Property” of a Person means any and all property, whether real, personal, tangible, intangible, or mixed, of such Person, or other assets owned, leased or operated by such Person. “PTE” means a prohibited transaction class exemption issued by the U.S. Department of Labor, as any such exemption may be amended from time to time. “Public Lenders” has the meaning assigned thereto in Section 7.1. “Rate Hedging Obligations” of a Person means any and all obligations of such Person, whether absolute or contingent and howsoever and whensoever created, arising, evidenced or acquired (including all renewals, extensions and modifications thereof and substitutions therefor), under (a) any and all agreements, devices or arrangements designed to protect at least one of the parties thereto from the fluctuations of interest rates, exchange rates or forward rates applicable to such party’s assets, liabilities or exchange transactions, including, but not limited to, dollar- denominated or cross-currency interest rate


 
19 exchange agreements, forward currency exchange agreements, interest rate cap or collar protection agreements, forward rate currency or interest rate options, puts and warrants, and (b) any and all cancellations, buybacks, reversals, terminations or assignments of any of the foregoing. “Rating” means a Moody’s Rating, a S&P Rating or a Fitch Rating, as applicable. “Recipient” means (a) the Administrative Agent, (b) any Lender or (c) any Issuing Lender, as applicable. “Register” has the meaning set forth in Section 10.6(c). “Regulations T, U and X” means Regulations T, U and X issued by the Federal Reserve Board, as from time to time amended. “Reimbursement Obligation” means the obligation of the Borrower to reimburse any Issuing Lender pursuant to Section 3.5 for amounts drawn under Letters of Credit issued by such Issuing Lender. “Related Parties” means, with respect to any Person, such Person’s Affiliates and the partners, directors, officers, employees, agents, trustees, administrators, managers, advisors and representatives of such Person and of such Person’s Affiliates. “Relevant Governmental Body” means the Federal Reserve Board or the Federal Reserve Bank of New York, or a committee officially endorsed or convened by the Federal Reserve Board or the Federal Reserve Bank of New York, or any successor thereto. “Removal Effective Date” has the meaning assigned thereto in Section 9.6(b). “Reportable Event” means (i) a reportable event described in Section 4043 of ERISA and regulations thereunder (other than reportable events for which notice has been waived pursuant to PBGC regulations), (ii) a withdrawal by a substantial employer from a Plan to which more than one employer contributes, as referred to in Section 4063(b) of ERISA, or (iii) a cessation of operations at a facility causing more than 20% of Plan participants to be separated from employment, as referred to in Section 4062(e) of ERISA. “Requested Increase Amount” has the meaning assigned thereto in Section 4.13(a). “Requested Increase Date” has the meaning assigned thereto in Section 4.13(a). “Required Lenders” means, at any time, Lenders having Total Credit Exposure representing more than fifty percent (50%) of the Total Credit Exposure of all Lenders. The Total Credit Exposure of any Defaulting Lender shall be disregarded in determining Required Lenders at any time. “Resignation Effective Date” has the meaning assigned thereto in Section 9.6(a). “Resolution Authority” means an EEA Resolution Authority or, with respect to any UK Financial Institution, a UK Resolution Authority. “Responsible Officer” means the Chairman of the Board and Chief Executive Officer, the President and Chief Operating Officer, the Executive Vice President and Chief Financial Officer, the Senior Vice President and Chief Accounting Officer or the Executive Vice President, General Counsel and Secretary of the Borrower.


 
20 “Revolving Credit Exposure” means, as to any Lender at any time, the aggregate principal amount at such time of its outstanding Revolving Credit Loans and such Lender’s participation in L/C Obligations and Swingline Loans at such time. “Revolving Credit Facility” means the revolving credit facility established pursuant to Article II (including any increase in such revolving credit facility pursuant to Section 4.13). “Revolving Credit Loan” means any revolving loan made to the Borrower pursuant to Section 2.1, and all such revolving loans collectively as the context requires. “Revolving Credit Note” means a promissory note made by the Borrower in favor of a Lender evidencing the Revolving Credit Loans made by such Lender, substantially in the form attached as Exhibit A-1, and any substitutes therefor, and any replacements, restatements, renewals or extension thereof, in whole or in part. “Revolving Credit Outstandings” means the sum of (a) with respect to Revolving Credit Loans and Swingline Loans on any date, the aggregate outstanding principal amount thereof after giving effect to any borrowings and prepayments or repayments of Revolving Credit Loans and Swingline Loans, as the case may be, occurring on such date; plus (b) with respect to any L/C Obligations on any date, the aggregate outstanding amount thereof on such date after giving effect to any Extensions of Credit occurring on such date and any other changes in the aggregate amount of the L/C Obligations as of such date, including as a result of any reimbursements of outstanding unpaid drawings under any Letters of Credit or any reductions in the maximum amount available for drawing under Letters of Credit taking effect on such date. “S&P” means Standard & Poor’s Rating Service, a division of S&P Global Inc. and any successor thereto. “S&P Rating” means, at any time, the rating of the long-term senior unsecured, non- credit- enhanced debt obligations of the Borrower then outstanding most recently announced by S&P. “Sanctioned Country” means at any time, a country or territory which is itself the subject or target of any Sanctions (at the time of this Agreement, Crimea, Cuba, Iran, North Korea and Syria). “Sanctioned Person” means, at any time, (a) any Person listed in any Sanctions-related list of designated Persons maintained by OFAC, the U.S. Department of the Treasury, the U.S. Department of State, the United Nations Security Council, the European Union or His Majesty’s Treasury of the United Kingdom, (b) any Person operating, organized or resident in a Sanctioned Country, or (c) any Person owned or controlled by any such Person or Persons described in the foregoing clauses (a) or (b). “Sanctions” means all economic or financial sanctions or trade embargoes imposed, administered or enforced from time to time by (a) the U.S. government, including those administered by OFAC or the U.S. Department of State or (b) the United Nations Security Council, the European Union or His Majesty’s Treasury of the United Kingdom. “Securities Act” means the Securities Act of 1933 (15 U.S.C. § 77 et seq.). “SOFR” means a rate equal to the secured overnight financing rate as administered by the SOFR Administrator. “SOFR Administrator” means the Federal Reserve Bank of New York (or a successor administrator of the secured overnight financing rate).


 
21 “SOFR Loan” means any Loan (other than, for the avoidance of doubt, any Swingline Loan) bearing interest at a rate based upon Adjusted Term SOFR as provided in Section 4.1(a). “Subsidiary” means, with respect to any Person, any corporation, partnership, limited liability company or other entity of which at least a majority of the securities or other ownership interests having by the terms thereof ordinary voting power to elect a majority of the board of directors or other persons performing similar functions of such corporation, partnership, limited liability company or other entity (irrespective of whether or not at the time securities or other ownership interests of any other class or classes of such corporation, partnership, limited liability company or other entity shall have or might have voting power by reason of the happening of any contingency) is at the time directly or indirectly owned or controlled by such Person or one or more Subsidiaries of such Person or by such Person and one or more Subsidiaries of such Person. “Swingline Commitment” means the lesser of (a) $50,000,000 and (b) the aggregate amount of the Commitments. “Swingline Facility” means the swingline facility established pursuant to Section 2.2. “Swingline Lender” means Wells Fargo in its capacity as swingline lender hereunder or any successor thereto. “Swingline Loan” means any swingline loan made by the Swingline Lender to the Borrower pursuant to Section 2.2, and all such swingline loans collectively as the context requires. “Swingline Note” means a promissory note made by the Borrower in favor of the Swingline Lender evidencing the Swingline Loans made by the Swingline Lender, substantially in the form attached as Exhibit A-2, and any substitutes therefor, and any replacements, restatements, renewals or extension thereof, in whole or in part. “Swingline Participation Amount” has the meaning assigned thereto in Section 2.2(b)(iii). “Swingline Rate” means, on any day, Adjusted Term SOFR for a one-month tenor in effect on such day; each change in the Swingline Rate shall take effect simultaneously with the corresponding change in Adjusted Term SOFR; provided that, during any period in which Adjusted Term SOFR is unavailable or unascertainable, the Swingline Rate shall be the Base Rate. “Taxes” means all present or future taxes, levies, imposts, duties, deductions, withholdings (including backup withholding), assessments, fees or other charges imposed by any Governmental Authority, including any interest, fines, additions to tax or penalties applicable thereto. “Term SOFR” means, (a) for any calculation with respect to a SOFR Loan, the Term SOFR Reference Rate for a tenor comparable to the applicable Interest Period on the day (such day, the “Periodic Term SOFR Determination Day”) that is two (2) U.S. Government Securities Business Days prior to the first day of such Interest Period, as such rate is published by the Term SOFR Administrator; provided, however, that if as of 5:00 p.m. (Eastern time) on any Periodic Term SOFR Determination Day the Term SOFR Reference Rate for the applicable tenor has not been published by the Term SOFR Administrator and a Benchmark Replacement Date with respect to the Term SOFR Reference Rate has not occurred, then Term SOFR will be the Term SOFR Reference Rate for such tenor as published by the Term SOFR


 
22 Administrator on the first preceding U.S. Government Securities Business Day for which such Term SOFR Reference Rate for such tenor was published by the Term SOFR Administrator so long as such first preceding U.S. Government Securities Business Day is not more than three (3) U.S. Government Securities Business Days prior to such Periodic Term SOFR Determination Day, and (b) for any calculation with respect to a Base Rate Loan or Swingline Loan on any day, the Term SOFR Reference Rate for a tenor of one month on the day (such day, the “Base Rate Term SOFR Determination Day”) that is two (2) U.S. Government Securities Business Days prior to such day, as such rate is published by the Term SOFR Administrator; provided, however, that if as of 5:00 p.m. (Eastern time) on any Base Rate Term SOFR Determination Day the Term SOFR Reference Rate for the applicable tenor has not been published by the Term SOFR Administrator and a Benchmark Replacement Date with respect to the Term SOFR Reference Rate has not occurred, then Term SOFR will be the Term SOFR Reference Rate for such tenor as published by the Term SOFR Administrator on the first preceding U.S. Government Securities Business Day for which such Term SOFR Reference Rate for such tenor was published by the Term SOFR Administrator so long as such first preceding U.S. Government Securities Business Day is not more than three (3) U.S. Government Securities Business Days prior to such Base Rate Term SOFR Determination Day. “Term SOFR Adjustment” means a percentage equal to 0.10% per annum. “Term SOFR Administrator” means CME Group Benchmark Administration Limited (CBA) (or a successor administrator of the Term SOFR Reference Rate selected by the Administrative Agent in its reasonable discretion). “Term SOFR Reference Rate” means the forward-looking term rate based on SOFR. “Total Credit Exposure” means, as to any Lender at any time, the unused Commitments and Revolving Credit Exposure of such Lender at such time. “Trade Date” has the meaning assigned thereto in Section 10.6(b)(i). “UK Financial Institution” means any BRRD Undertaking (as such term is defined under the PRA Rulebook (as amended from time to time) promulgated by the United Kingdom Prudential Regulation Authority) or any person falling within IFPRU 11.6 of the FCA Handbook (as amended from time to time) promulgated by the United Kingdom Financial Conduct Authority, which includes certain credit institutions and investment firms, and certain affiliates of such credit institutions or investment firms. “UK Resolution Authority” means the Bank of England or any other public administrative authority having responsibility for the resolution of any UK Financial Institution. “Unadjusted Benchmark Replacement” means the applicable Benchmark Replacement excluding the related Benchmark Replacement Adjustment. “Unfunded Benefit Liabilities” means the sum of (i) the amount (if any) by which the present value of all vested and unvested accrued benefits under a single employer plan, as defined in Section 4001(a)(15) of ERISA, exceeds the fair market value of assets allocable to such benefits, all determined as of the then most recent valuation date for such Plans using the PBGC actuarial assumptions utilized for purposes of determining the current liability for purposes of such valuation and (ii) the accrued liabilities for benefits


 
23 under the post-retirement benefit plan of the Borrower and its Consolidated Subsidiaries, determined in accordance with GAAP. “United States” means the United States of America. “U.S. Government Securities Business Day” means any day except for (a) a Saturday, (b) a Sunday or (c) a day on which the Securities Industry and Financial Markets Association recommends that the fixed income departments of its members be closed for the entire day for purposes of trading in United States government securities; provided, that for purposes of notice requirements in Sections 2.3(a), 2.4(c) and 4.2, in each case, such day is also a Business Day. “U.S. Person” means any Person that is a “United States person” as defined in Section 7701(a)(30) of the Code. “U.S. Tax Compliance Certificate” has the meaning assigned thereto in Section 4.11(g). “Wells Fargo” means Wells Fargo Bank, National Association, a national banking association. “Withholding Agent” means the Borrower and the Administrative Agent. “Write-Down and Conversion Powers” means (a) with respect to any EEA Resolution Authority, the write-down and conversion powers of such EEA Resolution Authority from time to time under the Bail- In Legislation for the applicable EEA Member Country, which write-down and conversion powers are described in the EU Bail-In Legislation Schedule and (b) with respect to the United Kingdom, any powers of the applicable Resolution Authority under the Bail-In Legislation to cancel, reduce, modify or change the form of a liability of any UK Financial Institution or any contract or instrument under which that liability arises, to convert all or part of that liability into shares, securities or obligations of that person or any other person, to provide that any such contract or instrument is to have effect as if a right had been exercised under it or to suspend any obligation in respect of that liability or any of the powers under that Bail-In Legislation that are related to or ancillary to any of those powers. SECTION 1.2 Computation of Time Periods. In this Agreement in the computation of periods of time from a specified date to a later specified date, the word “from” means “from and including” and the words “to” and “until” mean “to but excluding”. SECTION 1.3 Accounting Terms. (a) All accounting terms not specifically defined herein shall be construed in accordance with GAAP consistent with those applied in the preparation of the financial statements referred to in Section 6.5(a). (b) Notwithstanding any other provision contained herein, all terms of an accounting or financial nature used herein shall be construed, and all computations of amounts and ratios referred to herein shall be made (i) without giving effect to any election under Accounting Standards Codification 825-10-25 (or any other Accounting Standards Codification or Financial Accounting Standard having a similar result or effect) to value any Indebtedness or other liabilities of the Borrower or any Subsidiary at “fair value”, as defined therein and (ii) without giving effect to any treatment of Indebtedness in respect of convertible debt instruments under Accounting Standards Codification 470-20 (or any other Accounting Standards Codification or Financial Accounting Standard having a similar result or effect) to value any such Indebtedness in a reduced or bifurcated manner as described therein, and such Indebtedness shall at all times be valued at the full stated principal amount thereof.


 
24 (c) If at any time any change in GAAP would affect the computation of any financial ratio or requirement set forth herein, and the Borrower so requests, the Administrative Agent, the Lenders and the Borrower will negotiate in good faith to amend such ratio or requirement to preserve the original intent thereof in light of such change in GAAP; provided that until so amended, such ratio or requirement shall continue to be computed in accordance with GAAP as in effect prior to such change therein. (d) Notwithstanding any other provision contained herein, for purposes of determining compliance with any financial covenant, requirement, ratio or basket hereunder, leases shall continue to be classified and accounted for in accordance with GAAP as in effect immediately prior to the Borrower’s adoption of ASC 842 (regardless of the date on which such lease has been entered into). SECTION 1.4 Rounding. Any financial ratios required to be maintained pursuant to this Agreement shall be calculated by dividing the appropriate component by the other component, carrying the result to one place more than the number of places by which such ratio or percentage is expressed herein and rounding the result up or down to the nearest number (with a rounding-up if there is no nearest number). SECTION 1.5 References to Agreement and Laws. Unless otherwise expressly provided herein, (a) any definition or reference to formation documents, governing documents, agreements (including the Loan Documents) and other contractual documents or instruments shall be deemed to include all subsequent amendments, restatements, extensions, supplements and other modifications thereto, but only to the extent that such amendments, restatements, extensions, supplements and other modifications are not prohibited by any Loan Document; and (b) any definition or reference to any Applicable Law, including Anti-Corruption Laws, anti-money laundering laws, the Bankruptcy Code, the Code, ERISA, the Exchange Act, the PATRIOT Act, the Securities Act, the Uniform Commercial Code, the Investment Company Act or any of the foreign assets control regulations of the United States Treasury Department, shall include all statutory and regulatory provisions consolidating, amending, replacing, supplementing or interpreting such Applicable Law. SECTION 1.6 Times of Day. Unless otherwise specified, all references herein to times of day shall be references to Eastern time (daylight or standard, as applicable). SECTION 1.7 Rates. The Administrative Agent does not warrant or accept any responsibility for, and shall not have any liability with respect to, (a) the continuation of, administration of, submission of, calculation of or any other matter related to the Term SOFR Reference Rate, Adjusted Term SOFR or Term SOFR, or any component definition thereof or rates referred to in the definition thereof, or with respect to any alternative, successor or replacement rate thereto (including any Benchmark Replacement), including whether the composition or characteristics of any such alternative, successor or replacement rate (including any Benchmark Replacement), as it may or may not be adjusted pursuant to Section 4.8(c), will be similar to, or produce the same value or economic equivalence of, or have the same volume or liquidity as, the Term SOFR Reference Rate, Adjusted Term SOFR, Term SOFR or any other Benchmark prior to its discontinuance or unavailability, or (b) the effect, implementation or composition of any Conforming Changes. The Administrative Agent and its Affiliates or other related entities may engage in transactions that affect the calculation of the Term SOFR Reference Rate, Adjusted Term SOFR, Term SOFR, any alternative, successor or replacement rate (including any Benchmark Replacement) or any relevant adjustments thereto and such transactions may be adverse to the Borrower. The Administrative Agent may select information sources or services in its reasonable discretion to ascertain the Term SOFR Reference Rate, Adjusted Term SOFR or Term SOFR, or any other Benchmark, any component definition thereof or rates referred to in the definition thereof, in each case pursuant to the terms of this Agreement, and shall have no liability to the Borrower, any Lender or any other person or entity for damages of any kind, including direct or indirect, special, punitive, incidental or consequential damages, costs, losses or expenses


 
25 (whether in tort, contract or otherwise and whether at law or in equity), for any error or calculation of any such rate (or component thereof) provided by any such information source or service. SECTION 1.8 Divisions. For all purposes under the Loan Documents, in connection with any division or plan of division under Delaware law (or any comparable event under a different jurisdiction’s laws): (a) if any asset, right, obligation or liability of any Person becomes the asset, right, obligation or liability of a different Person, then it shall be deemed to have been transferred from the original Person to the subsequent Person, and (b) if any new Person comes into existence, such new Person shall be deemed to have been organized on the first date of its existence by the holders of its Equity Interests at such time. ARTICLE II REVOLVING CREDIT FACILITY SECTION 2.1 Revolving Credit Loans. Subject to the terms and conditions of this Agreement and the other Loan Documents, and in reliance upon the representations and warranties set forth in this Agreement and the other Loan Documents, each Lender severally agrees to make Revolving Credit Loans in Dollars to the Borrower from time to time from the Closing Date to, but not including, the Maturity Date as requested by the Borrower in accordance with the terms of Section 2.3; provided, that (a) the Revolving Credit Outstandings shall not exceed the Commitment and (b) the Revolving Credit Exposure of any Lender shall not at any time exceed such Lender’s Commitment. Each Revolving Credit Loan by a Lender shall be in a principal amount equal to such Lender’s Commitment Percentage of the aggregate principal amount of Revolving Credit Loans requested on such occasion. Subject to the terms and conditions hereof, the Borrower may borrow, repay and reborrow Revolving Credit Loans hereunder until the Maturity Date. SECTION 2.2 Swingline Loans. (a) Availability. Subject to the terms and conditions of this Agreement and the other Loan Documents and in reliance upon the representations and warranties set forth in this Agreement and the other Loan Documents, the Swingline Lender shall make Swingline Loans in Dollars to the Borrower from time to time from the Closing Date to, but not including, the Maturity Date; provided, that (i) after giving effect to any amount requested, the Revolving Credit Outstandings shall not exceed the Commitment and (ii) the aggregate principal amount of all outstanding Swingline Loans (after giving effect to any amount requested) shall not exceed the Swingline Commitment. (b) Refunding. (i) The Swingline Lender, at any time and from time to time in its sole and absolute discretion may, on behalf of the Borrower (which hereby irrevocably directs the Swingline Lender to act on its behalf), by written notice given no later than 12:00 p.m. on any Business Day request each Lender to make, and each Lender hereby agrees to make, a Revolving Credit Loan as a Base Rate Loan in an amount equal to such Lender’s Commitment Percentage of the aggregate amount of the Swingline Loans outstanding on the date of such notice, to repay the Swingline Lender. Each Lender shall make the amount of such Revolving Credit Loan available to the Administrative Agent in immediately available funds at the Administrative Agent’s Office not later than 1:00 p.m. on the day specified in such notice. The proceeds of such Revolving Credit Loans shall be immediately made available by the Administrative Agent to the Swingline Lender for application by the Swingline Lender to the repayment of the Swingline Loans. No Lender’s obligation to fund its respective Commitment Percentage of a Swingline Loan shall be affected by any other Lender’s failure to fund its Commitment Percentage of a Swingline Loan, nor shall any Lender’s


 
26 Commitment Percentage be increased as a result of any such failure of any other Lender to fund its Commitment Percentage of a Swingline Loan. (ii) The Borrower shall pay to the Swingline Lender on demand, and in any event on the Maturity Date, in immediately available funds the amount of such Swingline Loans to the extent amounts received from the Lenders are not sufficient to repay in full the outstanding Swingline Loans requested or required to be refunded. If any portion of any such amount paid to the Swingline Lender shall be recovered by or on behalf of the Borrower from the Swingline Lender in bankruptcy or otherwise, the loss of the amount so recovered shall be ratably shared among all the Lenders in accordance with their respective Commitment Percentages. (iii) If for any reason any Swingline Loan cannot be refinanced with a Revolving Credit Loan pursuant to Section 2.2(b)(i), each Lender shall, on the date such Revolving Credit Loan was to have been made pursuant to the notice referred to in Section 2.2(b)(i), purchase for cash an undivided participating interest in the then outstanding Swingline Loans by paying to the Swingline Lender an amount (the “Swingline Participation Amount”) equal to such Lender’s Commitment Percentage of the aggregate principal amount of Swingline Loans then outstanding. Each Lender will immediately transfer to the Swingline Lender, in immediately available funds, the amount of its Swingline Participation Amount. Whenever, at any time after the Swingline Lender has received from any Lender such Lender’s Swingline Participation Amount, the Swingline Lender receives any payment on account of the Swingline Loans, the Swingline Lender will distribute to such Lender its Swingline Participation Amount (appropriately adjusted, in the case of interest payments, to reflect the period of time during which such Lender’s participating interest was outstanding and funded and, in the case of principal and interest payments, to reflect such Lender’s pro rata portion of such payment if such payment is not sufficient to pay the principal of and interest on all Swingline Loans then due); provided that in the event that such payment received by the Swingline Lender is required to be returned, such Lender will return to the Swingline Lender any portion thereof previously distributed to it by the Swingline Lender. (iv) Each Lender’s obligation to make the Revolving Credit Loans referred to in Section 2.2(b)(i) and to purchase participating interests pursuant to Section 2.2(b)(iii) shall be absolute and unconditional and shall not be affected by any circumstance, including (A) any setoff, counterclaim, recoupment, defense or other right that such Lender or the Borrower may have against the Swingline Lender, the Borrower or any other Person for any reason whatsoever, (B) the occurrence or continuance of a Default or an Event of Default or the failure to satisfy any of the other conditions specified in Article VI, (C) any adverse change in the condition (financial or otherwise) of the Borrower, (D) any breach of this Agreement or any other Loan Document by the Borrower or any other Lender or (E) any other circumstance, happening or event whatsoever, whether or not similar to any of the foregoing. (v) If any Lender fails to make available to the Administrative Agent, for the account of the Swingline Lender, any amount required to be paid by such Lender pursuant to the foregoing provisions of this Section 2.2(b) by the time specified in Section 2.2(b)(i) or 2.2(b)(iii), as applicable, the Swingline Lender shall be entitled to recover from such Lender (acting through the Administrative Agent), on demand, such amount with interest thereon for the period from the date such payment is required to the date on which such payment is immediately available to the Swingline Lender at a rate per annum equal to the applicable Federal Funds Rate, plus any administrative, processing or similar fees customarily charged by the Swingline Lender in connection with the foregoing. If such Lender pays such amount (with interest and fees as aforesaid), the amount so paid shall constitute such Lender’s Revolving Credit Loan or Swingline Participation Amount, as the case may be. A certificate of the Swingline Lender submitted to any


 
27 Lender (through the Administrative Agent) with respect to any amounts owing under this clause (v) shall be conclusive absent manifest error. (c) Defaulting Lenders. Notwithstanding anything to the contrary contained in this Agreement, this Section 2.2 shall be subject to the terms and conditions of Section 4.14 and Section 4.15. SECTION 2.3 Procedure for Advances of Revolving Credit Loans and Swingline Loans. (a) Requests for Borrowing. The Borrower shall give the Administrative Agent irrevocable prior written notice substantially in the form of Exhibit B (a “Notice of Borrowing”) not later than 12:00 p.m. (i) on the same Business Day as each Base Rate Loan and each Swingline Loan and (ii) at least three (3) U.S. Government Securities Business Days before each SOFR Loan, of its intention to borrow, specifying (A) the date of such borrowing, which shall be a Business Day, (B) the amount of such borrowing, which shall be, (x) with respect to Loans (other than Swingline Loans) in an aggregate principal amount of $1,000,000 or a whole multiple of $500,000 in excess thereof and (y) with respect to Swingline Loans in an aggregate principal amount of $100,000 or a whole multiple of $100,000 in excess thereof (or, in each case, the remaining amount of the Commitment or the Swingline Commitment, as applicable), (C) whether such Loan is to be a Revolving Credit Loan or Swingline Loan, (D) in the case of a Revolving Credit Loan whether such Revolving Credit Loan is to be a SOFR Loan or a Base Rate Loan, and (E) in the case of a SOFR Loan, the duration of the Interest Period applicable thereto. If the Borrower fails to specify a type of Loan in a Notice of Borrowing, then the applicable Loans shall be made as Base Rate Loans. If the Borrower requests a borrowing of SOFR Loans in any such Notice of Borrowing, but fails to specify an Interest Period, it will be deemed to have specified an Interest Period of one month. A Notice of Borrowing received after 12:00 p.m. shall be deemed received on the next Business Day or U.S. Government Securities Business Day, as applicable. The Administrative Agent shall promptly notify the Lenders of each Notice of Borrowing. (b) Disbursement of Revolving Credit and Swingline Loans. Not later than 1:00 p.m. on the proposed borrowing date, (i) each Lender will make available to the Administrative Agent, for the account of the Borrower, at the Administrative Agent’s Office in funds immediately available to the Administrative Agent, such Lender’s Commitment Percentage of the Revolving Credit Loans to be made on such borrowing date and (ii) the Swingline Lender will make available to the Administrative Agent, for the account of the Borrower, at the Administrative Agent’s Office in funds immediately available to the Administrative Agent, the Swingline Loans to be made on such borrowing date. The Borrower hereby irrevocably authorizes the Administrative Agent to disburse the proceeds of each borrowing requested pursuant to this Section in immediately available funds by crediting or wiring such proceeds to the deposit account of the Borrower identified in the most recent notice substantially in the form attached as Exhibit C (a “Notice of Account Designation”) delivered by the Borrower to the Administrative Agent or as may be otherwise agreed upon by the Borrower and the Administrative Agent from time to time. Subject to Section 4.7 hereof, the Administrative Agent shall not be obligated to disburse the portion of the proceeds of any Revolving Credit Loan requested pursuant to this Section to the extent that any Lender has not made available to the Administrative Agent its Commitment Percentage of such Loan. Revolving Credit Loans to be made for the purpose of refunding Swingline Loans shall be made by the Lenders as provided in Section 2.2(b). SECTION 2.4 Repayment and Prepayment of Revolving Credit and Swingline Loans. (a) Repayment on Maturity Date. The Borrower hereby agrees to repay the outstanding principal amount of (i) all Revolving Credit Loans in full on the Maturity Date, and (ii) all Swingline Loans in accordance with Section 2.2(b) (but, in any event, no later than the Maturity Date), in each case, with all accrued but unpaid interest thereon.


 
28 (b) Mandatory Prepayments. If at any time the Revolving Credit Outstandings exceed the Commitment, the Borrower agrees to repay immediately upon notice from the Administrative Agent, by payment to the Administrative Agent for the account of the Lenders, Extensions of Credit in an amount equal to such excess with each such repayment applied first, to the principal amount of outstanding Swingline Loans, second to the principal amount of outstanding Revolving Credit Loans and third, with respect to any Letters of Credit then outstanding, a payment of Cash Collateral into a Cash Collateral account opened by the Administrative Agent, for the benefit of the Lenders, in an amount equal to such excess (such Cash Collateral to be applied in accordance with Section 8.2). (c) Optional Prepayments. The Borrower may at any time and from time to time prepay Revolving Credit Loans and Swingline Loans, in whole or in part, without premium or penalty, with irrevocable prior written notice to the Administrative Agent substantially in the form attached as Exhibit D (a “Notice of Prepayment”) given not later than 12:00 p.m. (i) on the same Business Day as prepayment of each Base Rate Loan and each Swingline Loan and (ii) at least two (2) U.S. Government Securities Business Days before prepayment of each SOFR Loan, specifying the date and amount of prepayment and whether the prepayment is of SOFR Loans, Base Rate Loans, Swingline Loans or a combination thereof, and, if of a combination thereof, the amount allocable to each. Upon receipt of such notice, the Administrative Agent shall promptly notify each Lender. If any such notice is given, the amount specified in such notice shall be due and payable on the date set forth in such notice. Partial prepayments shall be in an aggregate amount of $5,000,000 or a whole multiple of $1,000,000 in excess thereof with respect to Loans (other than Swingline Loans) and $100,000 or a whole multiple of $100,000 in excess thereof with respect to Swingline Loans (in each case, or such lesser amount as shall be outstanding). A Notice of Prepayment received after 12:00 p.m. shall be deemed received on the next Business Day or U.S. Government Securities Business Day, as applicable. Each such repayment shall be accompanied by any amount required to be paid pursuant to Section 10.4(d) hereof. Notwithstanding the foregoing, any Notice of Prepayment delivered in connection with any refinancing of all of the Credit Facility with the proceeds of such refinancing or of any incurrence of Indebtedness or the occurrence of some other identifiable event or condition, may be, if expressly so stated to be, contingent upon the consummation of such refinancing or incurrence or occurrence of such other identifiable event or condition and may be revoked by the Borrower in the event such contingency is not met (provided that the failure of such contingency shall not relieve the Borrower from its obligations in respect thereof under Section 10.4(d)). (d) Limitation on Prepayment of SOFR Loans. The Borrower may not prepay any SOFR Loan on any day other than on the last day of the Interest Period applicable thereto unless such prepayment is accompanied by any amount required to be paid pursuant to Section 10.4(d). SECTION 2.5 Permanent Reduction of the Commitment. (a) Voluntary Reduction. The Borrower shall have the right at any time and from time to time, upon at least three (3) Business Days prior irrevocable written notice to the Administrative Agent, to permanently reduce, without premium or penalty, (i) the entire Commitment at any time or (ii) portions of the Commitment, from time to time, in an aggregate principal amount not less than $10,000,000 or any whole multiple of $1,000,000 in excess thereof. Any reduction of the Commitment shall be applied to the Commitment of each Lender according to its Commitment Percentage. All Facility Fees accrued until the effective date of any termination of the Commitment shall be paid on the effective date of such termination. Notwithstanding the foregoing, any notice to reduce the Commitment delivered in connection with any refinancing of all of the Credit Facility with the proceeds of such refinancing or of any incurrence of Indebtedness or the occurrence of some other identifiable event or condition, may be, if expressly so stated to be, contingent upon the consummation of such refinancing or incurrence or occurrence of such identifiable event or condition and may be revoked by the Borrower in the event such contingency is not


 
29 met (provided that the failure of such contingency shall not relieve the Borrower from its obligations in respect thereof under Section 10.4(d)). (b) Corresponding Payment. Each permanent reduction permitted pursuant to this Section shall be accompanied by a payment of principal sufficient to reduce the aggregate outstanding Revolving Credit Loans, Swingline Loans and L/C Obligations, as applicable, after such reduction to the Commitment as so reduced, and if the aggregate amount of all outstanding Letters of Credit exceeds the Commitment as so reduced, the Borrower shall be required to deposit Cash Collateral in a cash collateral account opened by the Administrative Agent in an amount equal to such excess. Such Cash Collateral shall be applied in accordance with Section 8.2. Any reduction of the Commitment to zero shall be accompanied by payment of all outstanding Revolving Credit Loans and Swingline Loans (and furnishing of Cash Collateral satisfactory to the Administrative Agent for all L/C Obligations or other arrangements satisfactory to the respective Issuing Lenders) and shall result in the termination of the Commitment and the Swingline Commitment and the Revolving Credit Facility. If the reduction of the Commitment requires the repayment of any SOFR Loan, such repayment shall be accompanied by any amount required to be paid pursuant to Section 10.4(d) hereof. SECTION 2.6 Termination of Revolving Credit Facility. The Revolving Credit Facility and the Commitments shall terminate on the Maturity Date. ARTICLE III LETTER OF CREDIT FACILITY SECTION 3.1 L/C Facility. (a) Availability. Subject to the terms and conditions hereof, each Issuing Lender, in reliance on the agreements of the Lenders set forth in Section 3.4(a), agrees to issue standby Letters of Credit in an aggregate amount not to exceed its L/C Commitment for the account of the Borrower or, subject to Section 3.10, any Subsidiary thereof. Letters of Credit may be issued on any Business Day from the Closing Date to, but not including the fifteenth (15th) Business Day prior to the Maturity Date in such form as may be approved from time to time by the applicable Issuing Lender; provided, that no Issuing Lender shall issue any Letter of Credit if, after giving effect to such issuance, (i) the aggregate amount of the outstanding Letters of Credit issued by such Issuing Lender would exceed its L/C Commitment, (ii) the L/C Obligations would exceed the L/C Sublimit or (iii) the Revolving Credit Outstandings would exceed the Commitment. Letters of Credit issued hereunder shall constitute utilization of the Commitments. (b) Terms of Letters of Credit. Each Letter of Credit shall (i) be denominated in Dollars, (ii) expire on a date no more than twelve (12) months after the date of issuance or last renewal or extension of such Letter of Credit, which date shall be no later than the fifth (5th) Business Day prior to the Maturity Date, and (iii) unless otherwise expressly agreed by the applicable Issuing Lender and the Borrower when a Letter of Credit is issued by it, be subject to the ISP as set forth in the Letter of Credit Documents or as determined by the applicable Issuing Lender and, to the extent not inconsistent therewith, the laws of the State of New York. No Issuing Lender shall at any time be obligated to issue any Letter of Credit hereunder if (A) any order, judgment or decree of any Governmental Authority or arbitrator shall by its terms purport to enjoin or restrain such Issuing Lender from issuing such Letter of Credit, or any Applicable Law applicable to such Issuing Lender or any request or directive (whether or not having the force of law) from any Governmental Authority with jurisdiction over such Issuing Lender shall prohibit, or request that such Issuing Lender refrain from, the issuance of letters of credit generally or such Letter of Credit in particular or shall impose upon such Issuing Lender with respect to letters of credit generally or such Letter of Credit in particular any restriction or reserve or capital requirement (for which such Issuing Lender is not otherwise


 
30 compensated) not in effect on the Closing Date, or any unreimbursed loss, cost or expense that was not applicable, in effect or known to such Issuing Lender as of the Closing Date and that such Issuing Lender in good faith deems material to it, (B) the conditions set forth in Section 5.2 are not satisfied, (C) the issuance of such Letter of Credit would violate one or more policies of such Issuing Lender applicable to letters of credit generally, (D) the proceeds of which would be made available to any Person (x) to fund any activity or business of or with any Sanctioned Person, or in any Sanctioned Country or (y) in any manner that would result in a violation of any Sanctions by any party to this Agreement or (E) any Lender is at that time a Defaulting Lender, unless such Issuing Lender has entered into arrangements, including the delivery of Cash Collateral, satisfactory to such Issuing Lender (in its sole discretion) with the Borrower or such Lender to eliminate such Issuing Lender’s actual or potential Fronting Exposure (after giving effect to Section 4.15(a)(iv)) with respect to the Defaulting Lender arising from either the Letter of Credit then proposed to be issued or that Letter of Credit and all other L/C Obligations as to which such Issuing Lender has actual or potential Fronting Exposure, as it may elect in its sole discretion. References herein to “issue” and derivations thereof with respect to Letters of Credit shall also include extensions or modifications of any outstanding Letters of Credit, unless the context otherwise requires. (c) Defaulting Lenders. Notwithstanding anything to the contrary contained in this Agreement, Article III shall be subject to the terms and conditions of Section 4.14 and Section 4.15. SECTION 3.2 Procedure for Issuance of Letters of Credit. The Borrower may from time to time request that any Issuing Lender issue, amend, renew or extend a Letter of Credit by delivering to such Issuing Lender at its applicable office (with a copy to the Administrative Agent at the Administrative Agent’s Office) a Letter of Credit Application therefor, completed to the satisfaction of such Issuing Lender, and such other certificates, documents and other Letter of Credit Documents and information as such Issuing Lender or the Administrative Agent may request, not later than 12:00 p.m. at least two (2) Business Days (or such later date and time as the Administrative Agent and such Issuing Lender may agree in their sole discretion) prior to the proposed date of issuance, amendment, renewal or extension, as the case may be. Such notice shall specify (a) the requested date of issuance, amendment, renewal or extension (which shall be a Business Day), (b) the date on which such Letter of Credit is to expire (which shall comply with Section 3.1(b)), (c) the amount of such Letter of Credit, (d) the name and address of the beneficiary thereof, (e) the purpose and nature of such Letter of Credit and (f) such other information as shall be necessary to issue, amend, renew or extend such Letter of Credit. Upon receipt of any Letter of Credit Application, the applicable Issuing Lender shall, process such Letter of Credit Application and the certificates, documents and other Letter of Credit Documents and information delivered to it in connection therewith in accordance with its customary procedures and shall, subject to Section 3.1 and Article V, promptly issue, amend, renew or extend the Letter of Credit requested thereby (subject to the timing requirements set forth in this Section 3.2) by issuing the original of such Letter of Credit to the beneficiary thereof or as otherwise may be agreed by such Issuing Lender and the Borrower. Additionally, the Borrower shall furnish to the applicable Issuing Lender and the Administrative Agent such other documents and information pertaining to such requested Letter of Credit issuance or amendment, renewal or extension, including any Letter of Credit Documents, as the applicable Issuing Lender or the Administrative Agent may require. The applicable Issuing Lender shall promptly furnish to the Borrower and the Administrative Agent a copy of such Letter of Credit and the related Letter of Credit Documents and the Administrative Agent shall promptly notify each Lender of the issuance and upon request by any Lender, furnish to such Lender a copy of such Letter of Credit and the amount of such Lender’s participation therein. SECTION 3.3 Commissions and Other Charges. (a) Letter of Credit Commissions. Subject to Section 4.15(a)(iii)(B), the Borrower shall pay to the Administrative Agent, for the account of the applicable Issuing Lender and the L/C Participants, a letter of credit commission with respect to each Letter of Credit in the amount equal to the daily amount


 
31 available to be drawn under such standby Letters of Credit times the Applicable Rate with respect to Revolving Credit Loans that are SOFR Loans (determined, in each case, on a per annum basis). Such commission shall be payable quarterly in arrears on the last Business Day of each calendar quarter (commencing with the first such date to occur after the issuance of such Letter of Credit), on the Maturity Date and thereafter on demand of the Administrative Agent. The Administrative Agent shall, promptly following its receipt thereof, distribute to the applicable Issuing Lender and the L/C Participants all commissions received pursuant to this Section 3.3 in accordance with their respective Commitment Percentages. (b) Issuance Fee. In addition to the foregoing commission, the Borrower shall pay directly to the applicable Issuing Lender, for its own account, an issuance fee with respect to each Letter of Credit issued by such Issuing Lender in such amount as set forth in the applicable Fee Letter or as otherwise agreed upon between such Issuing Lender and the Borrower. Such issuance fee shall be payable quarterly in arrears on the last Business Day of each calendar quarter commencing with the first such date to occur after the issuance of such Letter of Credit, on the Maturity Date and thereafter on demand of the applicable Issuing Lender. (c) Other Fees, Costs, Charges and Expenses. In addition to the foregoing fees and commissions, the Borrower shall pay or reimburse each Issuing Lender for such normal and customary fees, costs, charges and expenses as are incurred or charged by such Issuing Lender in issuing, effecting payment under, amending or otherwise administering any Letter of Credit issued by it. Such customary fees, costs, charges and expenses are due and payable on demand and are nonrefundable. SECTION 3.4 L/C Participations. (a) Each Issuing Lender irrevocably agrees to grant and hereby grants to each L/C Participant, and, to induce each Issuing Lender to issue Letters of Credit hereunder, each L/C Participant irrevocably agrees to accept and purchase and hereby accepts and purchases from each Issuing Lender, on the terms and conditions hereinafter stated, for such L/C Participant’s own account and risk an undivided interest equal to such L/C Participant’s Commitment Percentage in each Issuing Lender’s obligations and rights under and in respect of each Letter of Credit issued by it hereunder and the amount of each draft paid by such Issuing Lender thereunder. Each L/C Participant unconditionally and irrevocably agrees with each Issuing Lender that, if a draft is paid under any Letter of Credit issued by such Issuing Lender for which such Issuing Lender is not reimbursed in full by the Borrower through a Revolving Credit Loan or otherwise in accordance with the terms of this Agreement, such L/C Participant shall pay to such Issuing Lender upon demand at such Issuing Lender’s address for notices specified herein an amount equal to such L/C Participant’s Commitment Percentage of the amount of such draft, or any part thereof, which is not so reimbursed. (b) Upon becoming aware of any amount required to be paid by any L/C Participant to any Issuing Lender pursuant to Section 3.4(a) in respect of any unreimbursed portion of any payment made by such Issuing Lender under any Letter of Credit, issued by it, such Issuing Lender shall notify the Administrative Agent of such unreimbursed amount and the Administrative Agent shall notify each L/C Participant (with a copy to the applicable Issuing Lender) of the amount and due date of such required payment and such L/C Participant shall pay to the Administrative Agent (which, in turn shall pay such Issuing Lender) the amount specified on the applicable due date. If any such amount is paid to such Issuing Lender after the date such payment is due, such L/C Participant shall pay to the Administrative Agent, which in turn shall pay such Issuing Lender on demand, in addition to such amount, the product of (i) such amount, times (ii) the daily average Federal Funds Rate as determined by the Administrative Agent during the period from and including the date such payment is due to the date on which such payment is immediately available to such Issuing Lender, times (iii) a fraction the numerator of which is the number


 
32 of days that elapse during such period and the denominator of which is 360, plus any administrative, processing or similar fees customarily charged by such Issuing Lender in connection with the foregoing. A certificate of such Issuing Lender with respect to any amounts owing under this Section shall be conclusive in the absence of manifest error. With respect to payment to such Issuing Lender of the unreimbursed amounts described in this Section, if the L/C Participants receive notice that any such payment is due (A) prior to 1:00 p.m. on any Business Day, such payment shall be due that Business Day, and (B) after 1:00 p.m. on any Business Day, such payment shall be due on the following Business Day. (c) Whenever, at any time after any Issuing Lender has made payment under any Letter of Credit issued by it and has received from any L/C Participant its Commitment Percentage of such payment in accordance with this Section, such Issuing Lender receives any payment related to such Letter of Credit (whether directly from the Administrative Agent or otherwise), or any payment of interest on account thereof, such Issuing Lender will distribute to such L/C Participant its pro rata share thereof; provided, that in the event that any such payment received by such Issuing Lender shall be required to be returned by such Issuing Lender, such L/C Participant shall return to the Administrative Agent, which shall in turn pay to such Issuing Lender, the portion thereof previously distributed by such Issuing Lender to it. (d) Each L/C Participant’s obligation to make the Revolving Credit Loans and to purchase participating interests pursuant to this Section 3.4 or Section 3.5, as applicable, shall be absolute and unconditional and shall not be affected by any circumstance, including (i) any setoff, counterclaim, recoupment, defense or other right that such Lender or the Borrower may have against the Issuing Lender, the Borrower or any other Person for any reason whatsoever, (ii) the occurrence or continuance of a Default or an Event of Default or the failure to satisfy any of the other conditions specified in Article V, (iii) any adverse change in the condition (financial or otherwise) of the Borrower, (iv) any breach of this Agreement or any other Loan Document by the Borrower or any other Lender or (v) any other circumstance, happening or event whatsoever, whether or not similar to any of the foregoing. SECTION 3.5 Reimbursement. In the event of any drawing under any Letter of Credit, the Borrower agrees to reimburse (either with the proceeds of a Revolving Credit Loan as provided for in this Section or with funds from other sources), in same day funds, the applicable Issuing Lender by paying to the Administrative Agent the amount of such drawing not later than 1:00 p.m. on (i) the Business Day that the Borrower receives notice of such drawing, if such notice is received by the Borrower prior to 10:00 a.m., or (ii) the Business Day immediately following the day that the Borrower receives such notice, if such notice is not received prior to such time, for the amount of (x) such draft so paid and (y) any amounts referred to in Section 3.3(c) incurred by such Issuing Lender in connection with such payment. Unless the Borrower shall immediately notify the Administrative Agent and such Issuing Lender that the Borrower intends to reimburse such Issuing Lender for such drawing from other sources or funds, the Borrower shall be deemed to have timely given a Notice of Borrowing to the Administrative Agent requesting that the Lenders make a Revolving Credit Loan as a Base Rate Loan on the applicable repayment date in the amount (without regard to the minimum and multiples specified in Section 2.3(a)) of (i) such draft so paid and (ii) any amounts referred to in Section 3.3(c) incurred by such Issuing Lender in connection with such payment, and the Lenders shall make a Revolving Credit Loan as a Base Rate Loan in such amount, the proceeds of which shall be applied to reimburse such Issuing Lender for the amount of the related drawing and such fees and expenses. Each Lender acknowledges and agrees that its obligation to fund a Revolving Credit Loan in accordance with this Section to reimburse such Issuing Lender for any draft paid under a Letter of Credit issued by it is absolute and unconditional and shall not be affected by any circumstance whatsoever, including non-satisfaction of the conditions set forth in Section 2.3(a) or Article V. If the Borrower has elected to pay the amount of such drawing with funds from other sources and shall fail to reimburse such Issuing Lender as provided above, or if the amount of such drawing is not fully refunded through a Base Rate Loan as provided above, the unreimbursed amount of such drawing shall bear interest at the rate which would be payable on any outstanding Base Rate Loans which were then overdue from the


 
33 date such amounts become payable (whether at stated maturity, by acceleration or otherwise) until paid in full. SECTION 3.6 Obligations Absolute. (a) The Borrower’s obligations under this Article III (including the Reimbursement Obligation) shall be absolute, unconditional and irrevocable under any and all circumstances whatsoever, and shall be performed strictly in accordance with the terms of this Agreement, and irrespective of: (i) any lack of validity or enforceability of any Letter of Credit, any Letter of Credit Document or this Agreement, or any term or provision therein or herein; (ii) the existence of any claim, counterclaim, setoff, defense or other right that the Borrower may have or have had against the applicable Issuing Lender or any beneficiary of a Letter of Credit (or any Person for whom any such beneficiary or any such transferee may be acting), the applicable Issuing Lender or any other Person, whether in connection with this Agreement, the transactions contemplated hereby or by such Letter of Credit or any agreement or instrument relating thereto, or any unrelated transaction; (iii) the validity or genuineness of documents or of any endorsements thereon, even though such documents shall in fact prove to be invalid, fraudulent, forged or insufficient in any respect or any statement in such draft or other document being untrue or inaccurate in any respect; or any loss or delay in the transmission or otherwise of any document required in order to make a drawing under such Letter of Credit; (iv) any payment by the Issuing Lender under a Letter of Credit against presentation of a draft or other document that does not comply with the terms of such Letter of Credit; or (v) any other event or circumstance whatsoever, whether or not similar to any of the foregoing, that might, but for the provisions of this Section, constitute a legal or equitable discharge of, or provide a right of setoff against, the Borrower’s obligations hereunder. (b) The Borrower also agrees that the applicable Issuing Lender and the L/C Participants shall not be responsible for, and the Borrower’s Reimbursement Obligation under Section 3.5 shall not be affected by, among other things, the validity or genuineness of documents or of any endorsements thereon, even though such documents shall in fact prove to be invalid, fraudulent or forged, or any dispute between or among the Borrower and any beneficiary of any Letter of Credit or any other party to which such Letter of Credit may be transferred or any claims whatsoever of the Borrower against any beneficiary of such Letter of Credit or any such transferee. The applicable Issuing Lender, the L/C Participants and their respective Related Parties shall not have any liability or responsibility by reason of or in connection with the issuance or transfer of any Letter of Credit, or any payment or failure to make any payment thereunder (irrespective of any of the circumstances referred to in the preceding sentence), or any error, omission, interruption, loss or delay in transmission or delivery of any draft, notice or other communication under or relating to any Letter of Credit (including any document required to make a drawing thereunder), any error in interpretation of technical terms or any consequence arising from causes beyond the control of the applicable Issuing Lender; provided that the foregoing shall not be construed to excuse an Issuing Lender from liability to the Borrower to the extent of any direct damages (as opposed to special, indirect, consequential or punitive damages, claims in respect of which are hereby waived by the Borrower to the extent permitted by Applicable Law) suffered by the Borrower that are caused by such Issuing Lender’s failure to exercise care when determining whether drafts and other documents presented under a Letter of Credit comply with the terms thereof. The parties hereto expressly agree that, in the absence of gross


 
34 negligence or willful misconduct on the part of the applicable Issuing Lender (as finally determined by a court of competent jurisdiction), such Issuing Lender shall be deemed to have exercised care in each such determination. (c) In furtherance of the foregoing and without limiting the generality thereof, the parties agree that (i) with respect to documents presented which appear on their face to be in substantial compliance with the terms of a Letter of Credit, the applicable Issuing Lender may, in its sole discretion, either accept and make payment upon such documents without responsibility for further investigation, regardless of any notice or information to the contrary, or refuse to accept and make payment upon such documents if such documents are not in strict compliance with the terms of such Letter of Credit, (ii) an Issuing Lender may act upon any instruction or request relative to a Letter of Credit or requested Letter of Credit that such Issuing Lender in good faith believes to have been given by a Person authorized to give such instruction or request and (iii) an Issuing Lender may replace a purportedly lost, stolen, or destroyed original Letter of Credit or missing amendment thereto with a certified true copy marked as such or waive a requirement for its presentation. The responsibility of any Issuing Lender to the Borrower in connection with any draft presented for payment under any Letter of Credit issued by it shall, in addition to any payment obligation expressly provided for in such Letter of Credit, be limited to determining that the documents (including each draft) delivered under such Letter of Credit in connection with such presentment substantially conforms to the requirements under such Letter of Credit. SECTION 3.7 Effect of Letter of Credit Documents. To the extent that any provision of any Letter of Credit Document related to any Letter of Credit is inconsistent with the provisions of this Article III, the provisions of this Article III shall apply. SECTION 3.8 Removal of Issuing Lenders. (a) The Borrower may at any time remove any Lender from its role as an Issuing Lender hereunder upon not less than thirty (30) days prior notice to such Issuing Lender and the Administrative Agent (or such shorter period of time as may be acceptable to such Issuing Lender and the Administrative Agent). (b) Any removed Issuing Lender shall retain all the rights, powers, privileges and duties of an Issuing Lender hereunder with respect to all Letters of Credit issued by it that are outstanding as of the effective date of its removal as an Issuing Lender and all L/C Obligations with respect thereto (including the right to require the Lenders to take such actions as are required under Section 3.4). Without limiting the foregoing, upon the removal of a Lender as an Issuing Lender hereunder, the Borrower may, or at the request of such removed Issuing Lender the Borrower shall, use commercially reasonable efforts to, arrange for one or more of the other Issuing Lenders to issue Letters of Credit hereunder in substitution for the Letters of Credit, if any, issued by such removed Issuing Lender and outstanding at the time of such removal, or make other arrangements satisfactory to the removed Issuing Lender to effectively cause another Issuing Lender to assume the obligations of the removed Issuing Lender with respect to any such Letters of Credit. SECTION 3.9 Reporting of Letter of Credit Information and L/C Commitment. At any time that there is an Issuing Lender that is not also the financial institution acting as Administrative Agent, then (a) no later than the fifth Business Day following the last day of each calendar month, (b) on each date that a Letter of Credit is amended, terminated or otherwise expires, (c) on each date that a Letter of Credit is issued or the expiry date of a Letter of Credit is extended, and (d) upon the request of the Administrative Agent, each Issuing Lender (or, in the case of clauses (b), (c) or (d) of this Section, the applicable Issuing Lender) shall deliver to the Administrative Agent a report setting forth in form and detail reasonably satisfactory to the Administrative Agent information (including any reimbursement, Cash Collateral, or


 
35 termination in respect of Letters of Credit issued by such Issuing Lender) with respect to each Letter of Credit issued by such Issuing Lender that is outstanding hereunder. In addition, each Issuing Lender shall provide notice to the Administrative Agent of its L/C Commitment, or any change thereto, promptly upon it becoming an Issuing Lender or making any change to its L/C Commitment. No failure on the part of any Issuing Lender to provide such information pursuant to this Section 3.9 shall limit the obligations of the Borrower or any Lender hereunder with respect to its reimbursement and participation obligations hereunder. SECTION 3.10 Letters of Credit Issued for Subsidiaries. Notwithstanding that a Letter of Credit issued or outstanding hereunder is in support of any obligations of, or is for the account of, a Subsidiary, or states that a Subsidiary is the “account party,” “applicant,” “customer,” “instructing party,” or the like of or for such Letter of Credit, and without derogating from any rights of the applicable Issuing Lender (whether arising by contract, at law, in equity or otherwise) against such Subsidiary in respect of such Letter of Credit, the Borrower (a) shall be obligated to reimburse, or to cause the applicable Subsidiary to reimburse, the applicable Issuing Lender hereunder for any and all drawings under such Letter of Credit as if such Letter of Credit had been issued solely for the account of the Borrower and (b) irrevocably waives any and all defenses that might otherwise be available to it as a guarantor or surety of any or all of the obligations of such Subsidiary in respect of such Letter of Credit. The Borrower hereby acknowledges that the issuance of Letters of Credit for the account of any of its Subsidiaries inures to the benefit of the Borrower and that the Borrower’s business derives substantial benefits from the businesses of such Subsidiaries. SECTION 3.11 Letter of Credit Amounts. Unless otherwise specified, all references herein to the amount of a Letter of Credit at any time shall be deemed to mean the maximum face amount of such Letter of Credit after giving effect to all increases thereof contemplated by such Letter of Credit or the Letter of Credit Documents therefor (at the time specified therefor in such applicable Letter of Credit or Letter of Credit Documents and as such amount may be reduced by (a) any permanent reduction of such Letter of Credit or (b) any amount which is drawn, reimbursed and no longer available under such Letter of Credit). ARTICLE IV GENERAL LOAN PROVISIONS SECTION 4.1 Interest. (a) Interest Rate Options. Subject to the provisions of this Section, at the election of the Borrower, (i) Revolving Credit Loans shall bear interest at (A) the Base Rate plus the Applicable Rate or (B) Adjusted Term SOFR plus the Applicable Rate and (ii) any Swingline Loan shall bear interest at the Swingline Rate plus the Applicable Rate for SOFR Loans (unless the Swingline Rate is being determined using the Base Rate, in which case the Applicable Rate for Base Rate Loans shall apply). The Borrower shall select the rate of interest and Interest Period, if any, applicable to any Loan at the time a Notice of Borrowing is given or at the time a Notice of Conversion/Continuation is given pursuant to Section 4.2. (b) Default Interest. Notwithstanding the foregoing, if any Payment Default shall have occurred and be continuing, the Borrower shall pay interest on: (i) the unpaid principal amount of each Loan owing to each Lender, payable on demand (and in any event in arrears on the Interest Payment Date applicable thereto), at a rate per annum equal at all times to 2% per annum above the rate per annum required to be paid on such Loan pursuant to Section 4.1(a); provided that if such Payment Default shall be continuing at the


 
36 end of any Interest Period for any SOFR Loans, such Loan shall forthwith be converted to a Base Rate Loan bearing interest as aforesaid in this Section 4.1(b)(i); and (ii) the amount of any interest, fee or other amount payable hereunder that is not paid when due, from the date such amount shall be due until such amount shall be paid in full, payable on demand (and in any event in arrears on the date such amount shall be paid in full), at a rate per annum equal at all times to 2% per annum above the rate per annum required to be paid on Base Rate Loans pursuant to Section 4.1(a) above. Interest shall continue to accrue on the Obligations after the filing by or against the Borrower of any petition seeking any relief in bankruptcy or under any Debtor Relief Law. (c) Interest Payment and Computation. Interest on each Base Rate Loan and each Swingline Loan shall be due and payable in arrears on the last Business Day of each calendar quarter commencing September 30, 2021; and interest on each SOFR Loan shall be due and payable on the last day of each Interest Period applicable thereto, and if such Interest Period extends over three (3) months, at the end of each three (3) month interval during such Interest Period; provided that (i) in the event of any repayment or prepayment of any SOFR Loan, accrued interest on the principal amount repaid or prepaid shall be payable on the date of such repayment or prepayment and (ii) in the event of any conversion of any SOFR Loan prior to the end of the Interest Period therefor, accrued interest on such Loan shall be payable on the effective date of such conversion. All computations of interest for Base Rate Loans when the Base Rate is determined by the Prime Rate shall be made on the basis of a year of 365 or 366 days, as the case may be, and actual days elapsed. All other computations of fees and interest provided hereunder shall be made on the basis of a 360-day year and actual days elapsed (which results in more fees or interest, as applicable, being paid than if computed on the basis of a 365/366-day year). (d) Term SOFR Conforming Changes. In connection with the use or administration of Term SOFR, the Administrative Agent will have the right to make Conforming Changes from time to time and, notwithstanding anything to the contrary herein or in any other Loan Document, any amendments implementing such Conforming Changes will become effective without any further action or consent of any other party to this Agreement or any other Loan Document. The Administrative Agent will promptly notify the Borrower and the Lenders of the effectiveness of any Conforming Changes in connection with the use or administration of Term SOFR. SECTION 4.2 Notice and Manner of Conversion or Continuation of Loans. Provided that no Event of Default has occurred and is then continuing, the Borrower shall have the option to (a) convert at any time all or any portion of any outstanding Base Rate Loans in a principal amount equal to $1,000,000 or any whole multiple of $500,000 in excess thereof (or such lesser amount as shall represent all of the Base Rate Loans then outstanding) into one or more SOFR Loans and (b) upon the expiration of any Interest Period, (i) convert all or any part of its outstanding SOFR Loans in a principal amount equal to $1,000,000 or a whole multiple of $500,000 in excess thereof (or such lesser amount as shall represent all of the SOFR Loans then outstanding) into Base Rate Loans or (ii) continue such SOFR Loans as SOFR Loans. Whenever the Borrower desires to convert or continue Loans as provided above, the Borrower shall give the Administrative Agent irrevocable prior written notice in the form attached as Exhibit E (a “Notice of Conversion/Continuation”) not later than 12:00 p.m. three (3) U.S. Government Securities Business Days before the day on which a proposed conversion or continuation of such Loan is to be effective specifying (A) the Loans to be converted or continued, and, in the case of any SOFR Loan to be converted or continued, the last day of the Interest Period therefor, (B) the effective date of such conversion or continuation (which shall be a Business Day), (C) the principal amount of such Loans to be converted or continued, and (D) the Interest Period to be applicable to such converted or continued SOFR Loan. If the Borrower fails to give a timely Notice of Conversion/Continuation prior to the end of the Interest Period for any SOFR Loan, then


 
37 the applicable SOFR Loan shall be continued as a SOFR Loan with an Interest Period of one month. Any such automatic continuation shall be effective as of the last day of the Interest Period then in effect with respect to the applicable SOFR Loan. If the Borrower requests a conversion to, or continuation of, SOFR Loans, but fails to specify an Interest Period, it will be deemed to have specified an Interest Period of one month. The Administrative Agent shall promptly notify the affected Lenders of such Notice of Conversion/Continuation. SECTION 4.3 Fees. (a) Facility Fee. Commencing on the Closing Date, subject to Section 4.15(a)(iii)(A), the Borrower shall pay to the Administrative Agent, for the account of the Lenders, a non-refundable facility fee (the “Facility Fee”) at a rate per annum equal to the Applicable Rate on the Commitment, regardless of usage. The Facility Fee shall be payable in arrears on the last Business Day of each calendar quarter during the term of this Agreement commencing September 30, 2021, and ending on the date upon which all Obligations (other than contingent indemnification obligations not then due) arising under the Revolving Credit Facility shall have been indefeasibly and irrevocably paid and satisfied in full, all Letters of Credit have been terminated or expired (or been Cash Collateralized) and the Commitments have been terminated. The Facility Fee shall be distributed by the Administrative Agent to the Lenders pro rata in accordance with the Lenders’ respective Commitment Percentages. (b) Other Fees. The Borrower shall pay to the Arrangers and the Administrative Agent for their own respective accounts fees in the amounts and at the times specified in their respective Fee Letters. The Borrower shall pay to the Lenders such fees as shall have been separately agreed upon in writing in the amounts and at the times so specified. SECTION 4.4 Manner of Payment. Each payment by the Borrower on account of the principal of or interest on the Loans or of any fee, commission or other amounts (including the Reimbursement Obligation) payable to the Lenders under this Agreement shall be made not later than 1:00 p.m. on the date specified for payment under this Agreement to the Administrative Agent at the Administrative Agent’s Office for the account of the Lenders entitled to such payment in Dollars, in immediately available funds and shall be made without any setoff, counterclaim or deduction whatsoever. Any payment received after such time but before 2:00 p.m. on such day shall be deemed a payment on such date for the purposes of Section 8.1, but for all other purposes shall be deemed to have been made on the next succeeding Business Day. Any payment received after 2:00 p.m. shall be deemed to have been made on the next succeeding Business Day for all purposes. Upon receipt by the Administrative Agent of each such payment, the Administrative Agent shall distribute to each such Lender at its address for notices set forth herein its Commitment Percentage (or other applicable share as provided herein) of such payment and shall wire advice of the amount of such credit to each Lender. Each payment to the Administrative Agent on account of the principal of or interest on the Swingline Loans or of any fee, commission or other amounts payable to the Swingline Lender shall be made in like manner, but for the account of the Swingline Lender. Each payment to the Administrative Agent of any Issuing Lender’s fees or L/C Participants’ commissions shall be made in like manner, but for the account of such Issuing Lender or the L/C Participants, as the case may be. Each payment to the Administrative Agent of Administrative Agent’s fees or expenses shall be made for the account of the Administrative Agent and any amount payable to any Lender under Sections 4.10, 4.11, 10.3 or 10.4(d) shall be paid to the Administrative Agent for the account of the applicable Lender. Subject to the definition of Interest Period, if any payment under this Agreement shall be specified to be made upon a day which is not a Business Day, it shall be made on the next succeeding day which is a Business Day and such extension of time shall in such case be included in computing any interest if payable along with such payment. Notwithstanding the foregoing, if there exists a Defaulting Lender each payment by the Borrower to such Defaulting Lender hereunder shall be applied in accordance with Section 4.15(a)(ii).


 
38 SECTION 4.5 Evidence of Indebtedness. (a) Extensions of Credit. The Extensions of Credit made by each Lender and each Issuing Lender shall be evidenced by one or more accounts or records maintained by such Lender or such Issuing Lender and by the Administrative Agent in the ordinary course of business. The accounts or records maintained by the Administrative Agent and each Lender or the applicable Issuing Lender shall be conclusive absent manifest error of the amount of the Extensions of Credit made by the Lenders or such Issuing Lender to the Borrower and its Subsidiaries and the interest and payments thereon. Any failure to so record or any error in doing so shall not, however, limit or otherwise affect the obligation of the Borrower hereunder to pay any amount owing with respect to the Obligations. In the event of any conflict between the accounts and records maintained by any Lender or any Issuing Lender and the accounts and records of the Administrative Agent in respect of such matters, the accounts and records of the Administrative Agent shall control in the absence of manifest error. Upon the request of any Lender made through the Administrative Agent, the Borrower shall execute and deliver to such Lender (through the Administrative Agent) a Revolving Credit Note and/or Swingline Note, as applicable, which shall evidence such Lender’s Revolving Credit Loans and/or Swingline Loans, as applicable, in addition to such accounts or records. Each Lender may attach schedules to its Notes and endorse thereon the date, amount and maturity of its Loans and payments with respect thereto. (b) Participations. In addition to the accounts and records referred to in subsection (a), each Lender and the Administrative Agent shall maintain in accordance with its usual practice accounts or records evidencing the purchases and sales by such Lender of participations in Letters of Credit and Swingline Loans. In the event of any conflict between the accounts and records maintained by the Administrative Agent and the accounts and records of any Lender in respect of such matters, the accounts and records of the Administrative Agent shall control in the absence of manifest error. SECTION 4.6 Set-Off; Sharing of Payments by Lenders. (a) If an Event of Default shall have occurred and be continuing, each Lender is hereby authorized at any time and from time to time, to the fullest extent permitted by Applicable Law, to set off and apply any and all deposits (general or special, time or demand, provisional or final, in whatever currency) at any time held, and other obligations (in whatever currency) at any time owing, by such Lender or any branch or agency thereof to or for the credit or the account of the Borrower against any and all of the obligations of the Borrower now or hereafter existing under this Agreement or any other Loan Document to such Lender, irrespective of whether or not such Lender shall have made any demand under this Agreement or any other Loan Document and although such obligations of the Borrower may be contingent or unmatured or are owed to a branch or office different from the branch or office holding such deposit or obligated on such indebtedness; provided that in the event that any Defaulting Lender shall exercise any such right of setoff, (x) all amounts so set off shall be paid over immediately to the Administrative Agent for further application in accordance with the provisions of Section 4.15 and, pending such payment, shall be segregated by such Defaulting Lender from its other funds and deemed held in trust for the benefit of the Administrative Agent, the Issuing Lenders, and the Lenders, and (y) the Defaulting Lender shall provide promptly to the Administrative Agent a statement describing in reasonable detail the Obligations owing to such Defaulting Lender as to which it exercised such right of setoff. The rights of each Lender under this Section are in addition to other rights and remedies (including other rights of setoff) that such Lender may have. Each Lender agrees to notify the Borrower and the Administrative Agent promptly after any such setoff and application; provided that the failure to give such notice shall not affect the validity of such setoff and application. The right of setoff described in this Section shall not apply to any (i) payroll, healthcare and other employee wage and benefit accounts, (ii) tax accounts, including, without limitation, any sales tax accounts, (iii) escrow, defeasance and redemption accounts, or (iv) any fiduciary or trust accounts established for the benefit of third parties.


 
39 (b) If any Lender shall, by exercising any right of setoff or counterclaim or otherwise, obtain payment in respect of any principal of or interest on any of its Loans or other obligations hereunder resulting in such Lender’s receiving payment of a proportion of the aggregate amount of its Loans and accrued interest thereon or other such obligations (other than pursuant to Sections 4.10, 4.11, 10.3 or 10.4(d)) greater than its pro rata share thereof as provided herein, then the Lender receiving such greater proportion shall (x) notify the Administrative Agent of such fact, and (y) purchase (for cash at face value) participations in the Loans and such other obligations of the other Lenders, or make such other adjustments as shall be equitable, so that the benefit of all such payments shall be shared by the Lenders ratably in accordance with the aggregate amount of principal of and accrued interest on their respective Loans and other amounts owing them; provided that: (i) if any such participations are purchased and all or any portion of the payment giving rise thereto is recovered, such participations shall be rescinded and the purchase price restored to the extent of such recovery, without interest, and (ii) the provisions of this paragraph shall not be construed to apply to (A) any payment made by the Borrower pursuant to and in accordance with the express terms of this Agreement (including the application of funds arising from the existence of a Defaulting Lender), (B) the application of Cash Collateral provided for in Section 4.14 or (C) any payment obtained by a Lender as consideration for the assignment of, or sale of, a participation in any of its Loans or participations in Swingline Loans and Letters of Credit to any assignee or participant. The Borrower consents to the foregoing and agrees, to the extent it may effectively do so under Applicable Law, that any Lender acquiring a participation pursuant to the foregoing arrangements may exercise against the Borrower rights of setoff and counterclaim with respect to such participation as fully as if such Lender were a direct creditor of the Borrower in the amount of such participation. SECTION 4.7 Administrative Agent’s Clawback. (a) Funding by Lenders; Presumption by Administrative Agent. Unless the Administrative Agent shall have received notice from a Lender (i) in the case of Base Rate Loans, not later than 1:00 p.m. on the date of any proposed borrowing and (ii) otherwise, prior to the proposed date of any borrowing that such Lender will not make available to the Administrative Agent such Lender’s share of such borrowing, the Administrative Agent may assume that such Lender has made such share available on such date in accordance with Section 2.3(b) and may, in reliance upon such assumption, make available to the Borrower a corresponding amount. In such event, if a Lender has not in fact made its share of the applicable borrowing available to the Administrative Agent, then the applicable Lender and the Borrower severally agree to pay to the Administrative Agent forthwith on demand such corresponding amount with interest thereon, for each day from and including the date such amount is made available to the Borrower to but excluding the date of payment to the Administrative Agent, at (A) in the case of a payment to be made by such Lender, the greater of the daily average Federal Funds Rate and a rate determined by the Administrative Agent in accordance with banking industry rules on interbank compensation and (B) in the case of a payment to be made by the Borrower, the interest rate applicable to Base Rate Loans. If the Borrower and such Lender shall pay such interest to the Administrative Agent for the same or an overlapping period, the Administrative Agent shall promptly remit to the Borrower the amount of such interest paid by the Borrower for such period. If such Lender pays its share of the applicable borrowing to the Administrative Agent, then the amount so paid shall constitute such Lender’s Loan included in such borrowing. Any payment by the Borrower shall be without prejudice to any claim the Borrower may have against a Lender that shall have failed to make such payment to the Administrative Agent.


 
40 (b) Payments by the Borrower; Presumptions by Administrative Agent. Unless the Administrative Agent shall have received notice from the Borrower prior to the date on which any payment is due to the Administrative Agent for the account of the Lenders, the Issuing Lenders or the Swingline Lender hereunder that the Borrower will not make such payment, the Administrative Agent may assume that the Borrower has made such payment on such date in accordance herewith and may, in reliance upon such assumption, distribute to the Lenders, the Issuing Lenders or the Swingline Lender, as the case may be, the amount due. In such event, if the Borrower has not in fact made such payment, then each of the Lenders, the Issuing Lenders or the Swingline Lender, as the case maybe, severally agrees to repay to the Administrative Agent forthwith on demand the amount so distributed to such Lender, Issuing Lender or the Swingline Lender, with interest thereon, for each day from and including the date such amount is distributed to it to but excluding the date of payment to the Administrative Agent, at the greater of the Federal Funds Rate and a rate determined by the Administrative Agent in accordance with banking industry rules on interbank compensation. (c) Nature of Obligations of Lenders. The obligations of the Lenders under this Agreement to make the Loans, to issue or participate in Letters of Credit and to make payments under this Section, Section 4.11(e), Section 9.12 or Section 10.4(e), as applicable, are several and are not joint or joint and several. The failure of any Lender to make available its Commitment Percentage of any Loan requested by the Borrower shall not relieve it or any other Lender of its obligation, if any, hereunder to make its Commitment Percentage of such Loan available on the borrowing date, but no Lender shall be responsible for the failure of any other Lender to make its Commitment Percentage of such Loan available on the borrowing date. SECTION 4.8 Changed Circumstances. (a) Circumstances Affecting Benchmark Availability. Subject to clause (c) below, in connection with any request for a SOFR Loan or a conversion to or continuation thereof or otherwise, if for any reason (i) the Administrative Agent shall determine (which determination shall be conclusive and binding absent manifest error) that reasonable and adequate means do not exist for ascertaining Adjusted Term SOFR for the applicable Interest Period with respect to a proposed SOFR Loan on or prior to the first day of such Interest Period or (ii) the Required Lenders shall determine (which determination shall be conclusive and binding absent manifest error) that Adjusted Term SOFR does not adequately and fairly reflect the cost to such Lenders of making or maintaining such Loans during such Interest Period and, in the case of clause (ii), the Required Lenders have provided notice of such determination to the Administrative Agent, then, in each case, the Administrative Agent shall promptly give notice thereof to the Borrower. Upon notice thereof by the Administrative Agent to the Borrower, any obligation of the Lenders to make SOFR Loans, and any right of the Borrower to convert any Loan to or continue any Loan as a SOFR Loan, shall be suspended (to the extent of the affected SOFR Loans or the affected Interest Periods) until the Administrative Agent (with respect to clause (ii), at the instruction of the Required Lenders) revokes such notice. Upon receipt of such notice, (A) the Borrower may revoke any pending request for a borrowing of, conversion to or continuation of SOFR Loans (to the extent of the affected SOFR Loans or the affected Interest Periods) or, failing that, the Borrower will be deemed to have converted any such request into a request for a borrowing of or conversion to Base Rate Loans in the amount specified therein and (B) any outstanding affected SOFR Loans will be deemed to have been converted into Base Rate Loans at the end of the applicable Interest Period. Upon any such prepayment or conversion, the Borrower shall also pay accrued interest on the amount so prepaid or converted, together with any additional amounts required pursuant to Section 10.4(d). (b) Laws Affecting SOFR Availability. If, after the date hereof, the introduction of, or any change in, any Applicable Law or any change in the interpretation or administration thereof by any Governmental Authority, central bank or comparable agency charged with the interpretation or administration thereof, or compliance by any of the Lenders (or any of their respective Lending Offices)


 
41 with any request or directive (whether or not having the force of law) of any such Governmental Authority, central bank or comparable agency, shall make it unlawful or impossible for any of the Lenders (or any of their respective Lending Offices) to honor its obligations hereunder to make or maintain any SOFR Loan, or to determine or charge interest based upon SOFR, the Term SOFR Reference Rate, Adjusted Term SOFR or Term SOFR, such Lender shall promptly give notice thereof to the Administrative Agent and the Administrative Agent shall promptly give notice to the Borrower and the other Lenders (an “Illegality Notice”). Thereafter, until each affected Lender notifies the Administrative Agent and the Administrative Agent notifies the Borrower that the circumstances giving rise to such determination no longer exist, (i) any obligation of the Lenders to make SOFR Loans, and any right of the Borrower to convert any Loan to a SOFR Loan or continue any Loan as a SOFR Loan, shall be suspended and (ii) if necessary to avoid such illegality, the Administrative Agent shall compute the Base Rate without reference to clause (c) of the definition of “Base Rate”. Upon receipt of an Illegality Notice, the Borrower shall, if necessary to avoid such illegality, upon demand from any Lender (with a copy to the Administrative Agent), prepay or, if applicable, convert all SOFR Loans to Base Rate Loans (in each case, if necessary to avoid such illegality, the Administrative Agent shall compute the Base Rate without reference to clause (c) of the definition of “Base Rate”), on the last day of the Interest Period therefor, if all affected Lenders may lawfully continue to maintain such SOFR Loans to such day, or immediately, if any Lender may not lawfully continue to maintain such SOFR Loans to such day. Upon any such prepayment or conversion, the Borrower shall also pay accrued interest on the amount so prepaid or converted, together with any additional amounts required pursuant to Section 10.4(d). (c) Benchmark Replacement Setting. (i) Benchmark Replacement. (A) Notwithstanding anything to the contrary herein or in any other Loan Document, upon the occurrence of a Benchmark Transition Event, the Administrative Agent and the Borrower may amend this Agreement to replace the then-current Benchmark with a Benchmark Replacement. Any such amendment with respect to a Benchmark Transition Event will become effective at 5:00 p.m. on the fifth (5th) Business Day after the Administrative Agent has posted such proposed amendment to all affected Lenders and the Borrower so long as the Administrative Agent has not received, by such time, written notice of objection to such amendment from Lenders comprising the Required Lenders. No replacement of a Benchmark with a Benchmark Replacement pursuant to this Section 4.8(c)(i)(A) will occur prior to the applicable Benchmark Transition Start Date. (B) No Hedge Agreement shall be deemed to be a “Loan Document” for purposes of this Section 4.8(c). (ii) Benchmark Replacement Conforming Changes. In connection with the use, administration, adoption or implementation of a Benchmark Replacement, the Administrative Agent will have the right in consultation with the Borrower to make Conforming Changes from time to time and, notwithstanding anything to the contrary herein or in any other Loan Document, any amendments implementing such Conforming Changes will become effective without any further action or consent of any other party to this Agreement or any other Loan Document. (iii) Notices; Standards for Decisions and Determinations. The Administrative Agent will promptly notify the Borrower and the Lenders of (A) the implementation of any Benchmark Replacement, (B) the commencement or conclusion of any Benchmark Unavailability Period and (C) the effectiveness of any Conforming Changes in connection with the use, administration, adoption or implementation of a Benchmark Replacement. The Administrative Agent will promptly notify the Borrower of the removal or reinstatement of any tenor of a Benchmark pursuant to Section 4.8(c)(iv). Any determination, decision or election that may be made by the


 
42 Administrative Agent or, if applicable, any Lender (or group of Lenders) pursuant to this Section 4.8(c), including any determination with respect to a tenor, rate or adjustment or of the occurrence or non-occurrence of an event, circumstance or date and any decision to take or refrain from taking any action or any selection, will be conclusive and binding absent manifest error and may be made in its or their reasonable discretion and without consent from any other party to this Agreement or any other Loan Document, except, in each case, as expressly required pursuant to this Section 4.8(c). (iv) Unavailability of Tenor of Benchmark. Notwithstanding anything to the contrary herein or in any other Loan Document, at any time (including in connection with the implementation of a Benchmark Replacement), (A) if the then-current Benchmark is a term rate (including the Term SOFR Reference Rate) and either (1) any tenor for such Benchmark is not displayed on a screen or other information service that publishes such rate from time to time as selected by the Administrative Agent in its reasonable discretion or (2) the regulatory supervisor for the administrator of such Benchmark has provided a public statement or publication of information announcing that any tenor for such Benchmark is not or will not be representative, then the Administrative Agent may modify the definition of “Interest Period” (or any similar or analogous definition) for any Benchmark settings at or after such time to remove such unavailable or non-representative tenor and (B) if a tenor that was removed pursuant to clause (A) above either (1) is subsequently displayed on a screen or information service for a Benchmark (including a Benchmark Replacement) or (2) is not, or is no longer, subject to an announcement that it is not or will not be representative for a Benchmark (including a Benchmark Replacement), then the Administrative Agent may modify the definition of “Interest Period” (or any similar or analogous definition) for all Benchmark settings at or after such time to reinstate such previously removed tenor. (v) Benchmark Unavailability Period. Upon the Borrower’s receipt of notice of the commencement of a Benchmark Unavailability Period, (A) the Borrower may revoke any pending request for a borrowing of, conversion to or continuation of SOFR Loans to be made, converted or continued during any Benchmark Unavailability Period and, failing that, the Borrower will be deemed to have converted any such request into a request for a borrowing of or conversion to Base Rate Loans and (B) any outstanding affected SOFR Loans will be deemed to have been converted to Base Rate Loans at the end of the applicable Interest Period. During any Benchmark Unavailability Period or at any time that a tenor for the then-current Benchmark is not an Available Tenor, the component of the Base Rate based upon the then-current Benchmark or such tenor for such Benchmark, as applicable, will not be used in any determination of the Base Rate. SECTION 4.9 [Reserved.] SECTION 4.10 Increased Costs. (a) Increased Costs Generally. If any Change in Law shall: (i) impose, modify or deem applicable any reserve (including pursuant to regulations issued from time to time by the Federal Reserve Board for determining the maximum reserve requirement (including any emergency, special, supplemental or other marginal reserve requirement) with respect to eurocurrency funding (currently referred to as “Eurocurrency liabilities” in Regulation D of the FRB, as amended and in effect from time to time)), special deposit, compulsory loan, insurance charge or similar requirement against assets of, deposits with or for the account of, or advances, loans or other credit extended or participated in by, any Lender or any Issuing Lender;


 
43 (ii) subject any Recipient to any Taxes (other than (A) Indemnified Taxes, (B) Taxes described in clauses (b) through (d) of the definition of Excluded Taxes and (C) Connection Income Taxes) on its loans, loan principal, letters of credit, commitments, or other obligations, or its deposits, reserves, other liabilities or capital attributable thereto; or (iii) impose on any Lender or any Issuing Lender any other condition, cost or expense (other than Taxes) affecting this Agreement or SOFR Loans made by such Lender or any Letter of Credit or participation therein; and the result of any of the foregoing shall be to increase the cost to such Lender, any Issuing Lender or such other Recipient of making, converting to, continuing or maintaining any Loan (or of maintaining its obligation to make any such Loan), or to increase the cost to such Lender, such Issuing Lender or such other Recipient of participating in, issuing or maintaining any Letter of Credit (or of maintaining its obligation to participate in or to issue any Letter of Credit), or to reduce the amount of any sum received or receivable by such Lender, such Issuing Lender or such other Recipient hereunder (whether of principal, interest or any other amount) then, upon written request of such Lender, such Issuing Lender or other Recipient, the Borrower shall promptly pay to any such Lender, such Issuing Lender or other Recipient, as the case may be, such additional amount or amounts as will compensate such Lender, such Issuing Lender or other Recipient, as the case may be, for such additional costs incurred or reduction suffered. (b) Capital Requirements. If any Lender or any Issuing Lender determines that any Change in Law affecting such Lender or such Issuing Lender or any Lending Office of such Lender or such Lender’s or such Issuing Lender’s holding company, if any, regarding capital or liquidity requirements, has or would have the effect of reducing the rate of return on such Lender’s or such Issuing Lender’s capital or on the capital of such Lender’s or such Issuing Lender’s holding company, if any, as a consequence of this Agreement, the Commitment of such Lender or the Loans made by, or participations in Letters of Credit or Swingline Loans held by, such Lender, or the Letters of Credit issued by such Issuing Lender, to a level below that which such Lender or such Issuing Lender or such Lender’s or such Issuing Lender’s holding company could have achieved but for such Change in Law (taking into consideration such Lender’s or such Issuing Lender’s policies and the policies of such Lender’s or such Issuing Lender’s holding company with respect to capital adequacy and liquidity), then from time to time upon written request of such Lender or such Issuing Lender the Borrower shall promptly pay to such Lender or such Issuing Lender, as the case may be, such additional amount or amounts as will compensate such Lender or such Issuing Lender or such Lender’s or such Issuing Lender’s holding company for any such reduction suffered. (c) Certificates for Reimbursement. A certificate of a Lender, or an Issuing Lender or such other Recipient setting forth in reasonable detail the basis for the amount or amounts necessary to compensate such Lender or such Issuing Lender, such other Recipient or any of their respective holding companies, as the case may be, as specified in paragraph (a) or (b) of this Section and delivered to the Borrower, shall be conclusive absent manifest error. The Borrower shall pay such Lender or such Issuing Lender or such other Recipient, as the case may be, the amount shown as due on any such certificate within ten (10) days after receipt thereof. (d) Delay in Requests. Failure or delay on the part of any Lender or any Issuing Lender or such other Recipient to demand compensation pursuant to this Section shall not constitute a waiver of such Lender’s or such Issuing Lender’s or such other Recipient’s right to demand such compensation; provided that the Borrower shall not be required to compensate any Lender or an Issuing Lender or any other Recipient pursuant to this Section for any increased costs incurred or reductions suffered more than six (6) months prior to the date that such Lender or such Issuing Lender or such other Recipient, as the case may be, notifies the Borrower of the Change in Law giving rise to such increased costs or reductions, and of such Lender’s or such Issuing Lender’s or such other Recipient’s intention to claim compensation therefor


 
44 (except that if the Change in Law giving rise to such increased costs or reductions is retroactive, then the six-month period referred to above shall be extended to include the period of retroactive effect thereof). (e) Survival. All of the obligations of the Borrower under this Section 4.10 shall survive the resignation or replacement of the Administrative Agent or any assignment of rights by, or the replacement of, a Lender, the termination of the Commitments and the repayment, satisfaction or discharge of all obligations under any Loan Document. SECTION 4.11 Taxes. (a) Defined Terms. For purposes of this Section 4.11, the term “Lender” includes any Issuing Lender and the term “Applicable Law” includes FATCA. (b) Payments Free of Taxes. Any and all payments by or on account of any obligation of the Borrower under any Loan Document shall be made without deduction or withholding for any Taxes, except as required by Applicable Law. If any Applicable Law (as determined in the good faith discretion of an applicable Withholding Agent) requires the deduction or withholding of any Tax from any such payment by a Withholding Agent, then the applicable Withholding Agent shall be entitled to make such deduction or withholding and shall timely pay the full amount deducted or withheld to the relevant Governmental Authority in accordance with Applicable Law and, if such Tax is an Indemnified Tax, then the sum payable by the Borrower shall be increased as necessary so that, after such deduction or withholding has been made (including such deductions and withholdings applicable to additional sums payable under this Section), the applicable Recipient receives an amount equal to the sum it would have received had no such deduction or withholding been made. (c) Payment of Other Taxes by the Borrower. The Borrower shall timely pay to the relevant Governmental Authority in accordance with Applicable Law, or at the option of the Administrative Agent timely reimburse it for the payment of, any Other Taxes. (d) Indemnification by the Borrower. The Borrower shall indemnify each Recipient, within ten (10) days after demand therefor, for the full amount of any Indemnified Taxes (including Indemnified Taxes imposed or asserted on or attributable to amounts payable under this Section) payable or paid by such Recipient or required to be withheld or deducted from a payment to such Recipient and any reasonable expenses arising therefrom or with respect thereto, whether or not such Indemnified Taxes were correctly or legally imposed or asserted by the relevant Governmental Authority. A certificate as to the amount of such payment or liability delivered to the Borrower by a Recipient (with a copy to the Administrative Agent), or by the Administrative Agent on its own behalf or on behalf of a Recipient, shall be conclusive absent manifest error. (e) Indemnification by the Lenders. Each Lender shall severally indemnify the Administrative Agent, within ten (10) days after demand therefor, for (i) any Indemnified Taxes attributable to such Lender (but only to the extent that the Borrower has not already indemnified the Administrative Agent for such Indemnified Taxes and without limiting the obligation of the Borrower to do so), (ii) any Taxes attributable to such Lender’s failure to comply with the provisions of Section 10.6(d) relating to the maintenance of a Participant Register and (iii) any Excluded Taxes attributable to such Lender, in each case, that are payable or paid by the Administrative Agent in connection with any Loan Document, and any reasonable expenses arising therefrom or with respect thereto, whether or not such Taxes were correctly or legally imposed or asserted by the relevant Governmental Authority. A certificate as to the amount of such payment or liability delivered to any Lender by the Administrative Agent shall be conclusive absent manifest error. Each Lender hereby authorizes the Administrative Agent to setoff and apply any and all amounts at any time owing to such Lender under any Loan Document or otherwise payable by the Administrative Agent to the


 
45 Lender from any other source against any amount due to the Administrative Agent under this paragraph (e). (f) Evidence of Payments. As soon as practicable after any payment of Taxes by the Borrower to a Governmental Authority pursuant to this Section 4.11, the Borrower shall deliver to the Administrative Agent the original or a certified copy of a receipt issued by such Governmental Authority evidencing such payment, a copy of the return reporting such payment or other evidence of such payment reasonably satisfactory to the Administrative Agent. (g) Status of Lenders. (i) Any Lender that is entitled to an exemption from or reduction of withholding Tax with respect to payments made under any Loan Document shall deliver to the Borrower and the Administrative Agent, at the time or times reasonably requested by the Borrower or the Administrative Agent, such properly completed and executed documentation reasonably requested by the Borrower or the Administrative Agent as will permit such payments to be made without withholding or at a reduced rate of withholding. In addition, any Lender, if reasonably requested by the Borrower or the Administrative Agent, shall deliver such other documentation prescribed by Applicable Law or reasonably requested by the Borrower or the Administrative Agent as will enable the Borrower or the Administrative Agent to determine whether or not such Lender is subject to backup withholding or information reporting requirements. Notwithstanding anything to the contrary in the preceding two sentences, the completion, execution and submission of such documentation (other than such documentation set forth in Section 4.11(g)(ii)(A), (ii)(B) and (ii)(D) below) shall not be required if in the Lender’s reasonable judgment such completion, execution or submission would subject such Lender to any material unreimbursed cost or expense or would materially prejudice the legal or commercial position of such Lender. (ii) Without limiting the generality of the foregoing: (A) any Lender that is a U.S. Person shall deliver to the Borrower and the Administrative Agent on or prior to the date on which such Lender becomes a Lender under this Agreement (and from time to time thereafter upon the reasonable request of the Borrower or the Administrative Agent), executed copies of IRS Form W-9 certifying that such Lender is exempt from United States federal backup withholding tax; (B) any Foreign Lender shall, to the extent it is legally entitled to do so, deliver to the Borrower and the Administrative Agent (in such number of copies as shall be requested by the recipient) on or prior to the date on which such Foreign Lender becomes a Lender under this Agreement (and from time to time thereafter upon the reasonable request of the Borrower or the Administrative Agent), whichever of the following is applicable: (1) in the case of a Foreign Lender claiming the benefits of an income tax treaty to which the United States is a party (x) with respect to payments of interest under any Loan Document, executed copies of IRS Form W-8BEN-E establishing an exemption from, or reduction of, United States federal withholding Tax pursuant to the “interest” article of such tax treaty and (y) with respect to any other applicable payments under any Loan Document, IRS Form W-8BEN-E establishing an exemption from, or reduction of, United States federal withholding Tax pursuant to the “business profits” or “other income” article of such tax treaty;


 
46 (2) executed copies of IRS Form W-8ECI; (3) in the case of a Foreign Lender claiming the benefits of the exemption for portfolio interest under Section 881(c) of the Code, (x) a certificate substantially in the form of Exhibit H-1 to the effect that such Foreign Lender is not a “bank” within the meaning of Section 881(c)(3)(A) of the Code, a “10 percent shareholder” of the Borrower within the meaning of Section 881(c)(3)(B) of the Code, or a “controlled foreign corporation” described in Section 881(c)(3)(C) of the Code (a “U.S. Tax Compliance Certificate”) and (y) executed copies of IRS Form W-8BEN-E; or (4) to the extent a Foreign Lender is not the beneficial owner, executed copies of IRS Form W-8IMY, accompanied by IRS Form W-8ECI, IRS Form W-8BEN-E, a U.S. Tax Compliance Certificate substantially in the form of Exhibit H-2 or Exhibit H-3, IRS Form W-9, and/or other certification documents from each beneficial owner, as applicable; provided that if the Foreign Lender is a partnership and one or more direct or indirect partners of such Foreign Lender are claiming the portfolio interest exemption, such Foreign Lender may provide a U.S. Tax Compliance Certificate substantially in the form of Exhibit H-4 on behalf of each such direct and indirect partner; (C) any Foreign Lender shall, to the extent it is legally entitled to do so, deliver to the Borrower and the Administrative Agent (in such number of copies as shall be requested by the recipient) on or prior to the date on which such Foreign Lender becomes a Lender under this Agreement (and from time to time thereafter upon the reasonable request of the Borrower or the Administrative Agent), executed copies of any other form prescribed by Applicable Law as a basis for claiming exemption from or a reduction in United States federal withholding Tax, duly completed, together with such supplementary documentation as may be prescribed by Applicable Law to permit the Borrower or the Administrative Agent to determine the withholding or deduction required to be made; and (D) if a payment made to a Lender under any Loan Document would be subject to United States federal withholding Tax imposed by FATCA if such Lender were to fail to comply with the applicable reporting requirements of FATCA (including those contained in Section 1471(b) or 1472(b) of the Code, as applicable), such Lender shall deliver to the Borrower and the Administrative Agent at the time or times prescribed by law and at such time or times reasonably requested by the Borrower or the Administrative Agent such documentation prescribed by Applicable Law (including as prescribed by Section 1471(b)(3)(C)(i) of the Code) and such additional documentation reasonably requested by the Borrower or the Administrative Agent as may be necessary for the Borrower and the Administrative Agent to comply with their obligations under FATCA and to determine that such Lender has complied with such Lender’s obligations under FATCA or to determine the amount to deduct and withhold from such payment. Solely for purposes of this clause (D), “FATCA” shall include any amendments made to FATCA after the date of this Agreement. Each Lender agrees that if any form or certification it previously delivered expires or becomes obsolete or inaccurate in any respect, it shall update such form or certification or promptly notify the Borrower and the Administrative Agent in writing of its legal inability to do so.


 
47 (h) Treatment of Certain Refunds. If any party determines, in its sole discretion exercised in good faith, that it has received a refund of any Taxes as to which it has been indemnified pursuant to this Section 4.11 (including by the payment of additional amounts pursuant to this Section 4.11), it shall pay to the indemnifying party an amount equal to such refund (but only to the extent of indemnity payments made under this Section with respect to the Taxes giving rise to such refund), net of all out-of-pocket expenses (including Taxes) of such indemnified party and without interest (other than any interest paid by the relevant Governmental Authority with respect to such refund). Such indemnifying party, upon the request of such indemnified party, shall repay to such indemnified party the amount paid over pursuant to this paragraph (h) (plus any penalties, interest or other charges imposed by the relevant Governmental Authority) in the event that such indemnified party is required to repay such refund to such Governmental Authority. Notwithstanding anything to the contrary in this paragraph (h), in no event will the indemnified party be required to pay any amount to an indemnifying party pursuant to this paragraph (h) the payment of which would place the indemnified party in a less favorable net after-Tax position than the indemnified party would have been in if the Tax subject to indemnification and giving rise to such refund had not been deducted, withheld or otherwise imposed and the indemnification payments or additional amounts with respect to such Tax had never been paid. This paragraph shall not be construed to require any indemnified party to make available its Tax returns (or any other information relating to its Taxes that it deems confidential) to the indemnifying party or any other Person. (i) Survival. Each party’s obligations under this Section 4.11 shall survive the resignation or replacement of the Administrative Agent or any assignment of rights by, or the replacement of, a Lender, the termination of the Commitments and the repayment, satisfaction or discharge of all obligations under any Loan Document. SECTION 4.12 Mitigation Obligations; Replacement of Lenders. (a) Designation of a Different Lending Office. If any Lender requests compensation under Section 4.10, or requires the Borrower to pay any Indemnified Taxes or additional amounts to any Lender or any Governmental Authority for the account of any Lender pursuant to Section 4.11, then such Lender shall, at the request of the Borrower, use reasonable efforts to designate a different Lending Office for funding or booking its Loans hereunder or to assign its rights and obligations hereunder to another of its offices, branches or affiliates, if, in the judgment of such Lender, such designation or assignment (i) would eliminate or reduce amounts payable pursuant to Section 4.10 or Section 4.11, as the case may be, in the future and (ii) would not subject such Lender to any unreimbursed cost or expense and would not otherwise be disadvantageous to such Lender. The Borrower hereby agrees to pay all reasonable costs and expenses incurred by any Lender in connection with any such designation or assignment. (b) Replacement of Lenders. If any Lender requests compensation under Section 4.10, or if the Borrower is required to pay any Indemnified Taxes or additional amounts to any Lender or any Governmental Authority for the account of any Lender pursuant to Section 4.11, and, in each case, such Lender has declined or is unable to designate a different Lending Office in accordance with Section 4.12(a), or if any Lender is a Defaulting Lender or a Non-Consenting Lender, then the Borrower may, at its sole expense and effort, upon notice to such Lender and the Administrative Agent, require such Lender to assign and delegate, without recourse (in accordance with and subject to the restrictions contained in, and consents required by, Section 10.6), all of its interests, rights (other than its existing rights to payments pursuant to Section 4.10 or Section 4.11) and obligations under this Agreement and the related Loan Documents to an Eligible Assignee that shall assume such obligations (which assignee may be another Lender, if a Lender accepts such assignment); provided that: (i) the Borrower shall have paid to the Administrative Agent the assignment fee (if any) specified in Section 10.6;


 
48 (ii) such Lender shall have received payment of an amount equal to the outstanding principal of its Loans and funded participations in Letters of Credit and Swingline Loans, accrued interest thereon, accrued fees and all other amounts payable to it hereunder and under the other Loan Documents (including any amounts under Section 10.4(d)) from the assignee (to the extent of such outstanding principal and accrued interest and fees) or the Borrower (in the case of all other amounts); (iii) in the case of any such assignment resulting from a claim for compensation under Section 4.10 or payments required to be made pursuant to Section 4.11, such assignment will result in a reduction in such compensation or payments thereafter; (iv) such assignment does not conflict with Applicable Law; and (v) in the case of any assignment resulting from a Lender becoming a Non-Consenting Lender, the applicable assignee shall have consented to the applicable amendment, waiver or consent. A Lender shall not be required to make any such assignment or delegation if, prior thereto, as a result of a waiver by such Lender or otherwise, the circumstances entitling the Borrower to require such assignment and delegation cease to apply. Each party hereto agrees that (x) an assignment required pursuant to this Section 4.12 may be effected pursuant to an Assignment and Assumption executed by the Borrower, the Administrative Agent and the assignee and (y) the Lender required to make such assignment need not be a party thereto in order for such assignment to be effective and shall be deemed to have consented to and be bound by the terms thereof; provided that, following the effectiveness of any such assignment, the other parties to such assignment agree to execute and deliver such documents necessary to evidence such assignment as reasonably requested by the applicable Lender or the Administrative Agent, provided, further that any such documents shall be without recourse to or warranty by the parties thereto. (c) Selection of Lending Office. Subject to Section 4.12(a), each Lender may make any Loan to the Borrower through any Lending Office, provided that the exercise of this option shall not affect the obligations of the Borrower to repay the Loan in accordance with the terms of this Agreement or otherwise alter the rights of the parties hereto. SECTION 4.13 Increase of Commitments. (a) The Borrower shall have the right at any time after the Closing Date to request that the aggregate Commitments hereunder be increased (a “Commitment Increase”) in accordance with the following provisions and subject to the following conditions: (i) The Borrower shall give the Administrative Agent, which shall promptly deliver a copy thereof to each of the Lenders, at least twenty (20) Business Days’ prior written notice (a “Notice of Increase”) of any such requested increase specifying the aggregate amount by which the Commitments are to be increased (the “Requested Increase Amount”), which shall be at least $10,000,000, the requested date of increase (the “Requested Increase Date”) and the date by which the Lenders wishing to participate in the Commitment Increase must commit to an increase in the amount of their respective Commitments (the “Commitment Date”). Each Lender that is willing in its sole discretion to participate in such requested Commitment Increase (each an “Increasing Lender”) shall give written notice to the Administrative Agent on or prior to the Commitment Date of the amount by which it is willing to increase its Commitment.


 
49 (ii) Promptly following each Commitment Date, the Administrative Agent shall notify the Borrower as to the amount, if any, by which the Lenders are willing to participate in the requested Commitment Increase. In addition, the Borrower may extend offers to one or more Eligible Assignees, each of which must be reasonably satisfactory to the Administrative Agent, to participate in any portion of the requested Commitment Increase; provided, however, that the Commitment of each such Eligible Assignee shall be in an amount of not less than $1,000,000 or an integral multiple of $1,000,000 in excess thereof. Any such Eligible Assignee that agrees to acquire a Commitment pursuant hereto is herein called an “Additional Lender”. (iii) Effective on the Requested Increase Date, subject to the terms and conditions hereof, (x) Schedule 1.1 shall be deemed to be amended to reflect the increases contemplated hereby, (y) the Commitment of each Increasing Lender shall be increased by an amount determined by the Administrative Agent and the Borrower (but in no event greater than the amount by which such Lender is willing to increase its Commitment), and (z) each Additional Lender shall enter into an agreement in form and substance satisfactory to the Borrower and the Administrative Agent pursuant to which it shall undertake, as of such Requested Increase Date, a new Commitment in an amount determined by the Administrative Agent and the Borrower (but in no event greater than the amount by which such Lender is willing to participate in the requested Commitment Increase), and such Additional Lender shall thereupon be deemed to be a Lender for all purposes of this Agreement. Each Additional Lender may request a Note in accordance with Section 4.5. (iv) If on the Requested Increase Date there are any Revolving Credit Loans outstanding hereunder, the outstanding Revolving Credit Loans and Commitment Percentages of Swingline Loans and L/C Obligations will be reallocated by the Administrative Agent on the applicable Requested Increase Date among the Lenders (including the Increasing Lenders providing such Commitment Increase) in accordance with their revised Commitment Percentages (and the Lenders (including the Increasing Lenders providing such Commitment Increase) agree to make all payments and adjustments necessary to effect such reallocation and the Borrower shall pay any and all costs required pursuant to Section 10.4(d) in connection with such reallocation as if such reallocation were a repayment). (v) The Borrower may not exercise its rights under this Section 4.13 more than once in each successive annual period commencing on the Closing Date. (b) Anything in this Section 4.13 to the contrary notwithstanding, no increase in the aggregate Commitments hereunder pursuant to this Section shall be effective unless: (i) as of the date of the relevant Notice of Increase and on the relevant Requested Increase Date and after giving effect to such increase, (x) no Default or Event of Default shall have occurred and be continuing and (y) the representations and warranties of the Borrower in Article VI (subject to updating in the case of Section 6.14) shall be true and correct in all material respects as if made on and as of such date (unless expressly stated to relate to an earlier date, in which case such representations and warranties shall be true and correct in all material respects as of such earlier date); (ii) the Administrative Agent shall have received on or before the relevant Requested Increase Date: (A) certified copies of resolutions of the Board of Directors of the Borrower approving the Commitment Increase and (B) an opinion of counsel for the Borrower reasonably satisfactory to the Administrative Agent;


 
50 (iii) on and as of the date of the relevant Notice of Increase and on the relevant Requested Increase Date and after giving effect to such increase, the Moody’s Rating and the S&P Rating shall be at least equal to Baa3 and BBB- respectively; (iv) the Borrower shall not previously have reduced the Commitments under Section 2.5; and (v) after giving effect to any such increase the aggregate amount of the Commitments shall not exceed $750,000,000. SECTION 4.14 Cash Collateral. At any time that there shall exist a Defaulting Lender, within one Business Day following the written request of the Administrative Agent, any Issuing Lender (with a copy to the Administrative Agent) or the Swingline Lender (with a copy to the Administrative Agent), the Borrower shall Cash Collateralize the Fronting Exposure of such Issuing Lender and/or the Swingline Lender, as applicable, with respect to such Defaulting Lender (determined after giving effect to Section 4.15(a)(iv) and any Cash Collateral provided by such Defaulting Lender) in an amount not less than the Minimum Collateral Amount. (a) Grant of Security Interest. The Borrower, and to the extent provided by any Defaulting Lender, such Defaulting Lender, hereby grants to the Administrative Agent, for the benefit of each Issuing Lender and the Swingline Lender, and agrees to maintain, a first priority security interest in all such Cash Collateral as security for the Defaulting Lender’s obligation to fund participations in respect of L/C Obligations and Swingline Loans, to be applied pursuant to subsection (b) below. If at any time the Administrative Agent determines that Cash Collateral is subject to any right or claim of any Person other than the Administrative Agent, each Issuing Lender and the Swingline Lender as herein provided, or that the total amount of such Cash Collateral is less than the Minimum Collateral Amount, the Borrower will, promptly upon demand by the Administrative Agent, pay or provide to the Administrative Agent additional Cash Collateral in an amount sufficient to eliminate such deficiency (after giving effect to any Cash Collateral provided by the Defaulting Lender). (b) Application. Notwithstanding anything to the contrary contained in this Agreement or any other Loan Document, Cash Collateral provided under this Section 4.14 or Section 4.15 in respect of Letters of Credit and Swingline Loans shall be applied to the satisfaction of the Defaulting Lender’s obligation to fund participations in respect of L/C Obligations and Swingline Loans (including, as to Cash Collateral provided by a Defaulting Lender, any interest accrued on such obligation) for which the Cash Collateral was so provided, prior to any other application of such property as may otherwise be provided for herein. (c) Termination of Requirement. Cash Collateral (or the appropriate portion thereof) provided to reduce the Fronting Exposure of any Issuing Lender and/or the Swingline Lender, as applicable, shall no longer be required to be held as Cash Collateral pursuant to this Section 4.14 following (i) the elimination of the applicable Fronting Exposure (including by the termination of Defaulting Lender status of the applicable Lender), or (ii) the determination by the Administrative Agent, the Issuing Lenders and the Swingline Lender that there exists excess Cash Collateral; provided that, subject to Section 4.15, the Person providing Cash Collateral, the Issuing Lenders and the Swingline Lender may agree that Cash Collateral shall be held to support future anticipated Fronting Exposure or other obligations. SECTION 4.15 Defaulting Lenders. (a) Defaulting Lender Adjustments. Notwithstanding anything to the contrary contained in this Agreement, if any Lender becomes a Defaulting Lender, then, until such time as such Lender is no longer a Defaulting Lender, to the extent permitted by Applicable Law:


 
51 (i) Waivers and Amendments. Such Defaulting Lender’s right to approve or disapprove any amendment, waiver or consent with respect to this Agreement shall be restricted as set forth in the definition of “Required Lenders” and Section 10.1. (ii) Defaulting Lender Waterfall. Any payment of principal, interest, fees or other amounts received by the Administrative Agent for the account of such Defaulting Lender (whether voluntary or mandatory, at maturity, pursuant to Article VIII or otherwise) or received by the Administrative Agent from a Defaulting Lender pursuant to Section 10.4 shall be applied at such time or times as may be determined by the Administrative Agent as follows: first, to the payment of any amounts owing by such Defaulting Lender to the Administrative Agent hereunder; second, to the payment on a pro rata basis of any amounts owing by such Defaulting Lender to the Issuing Lenders or the Swingline Lender hereunder; third, to Cash Collateralize the Fronting Exposure of the Issuing Lenders and the Swingline Lender with respect to such Defaulting Lender in accordance with Section 4.14; fourth, as the Borrower may request (so long as no Default or Event of Default exists), to the funding of any Loan or funded participation in respect of which such Defaulting Lender has failed to fund its portion thereof as required by this Agreement, as determined by the Administrative Agent; fifth, if so determined by the Administrative Agent and the Borrower, to be held in a deposit account and released pro rata in order to (A) satisfy such Defaulting Lender’s potential future funding obligations with respect to Loans and funded participations under this Agreement and (B) Cash Collateralize the Issuing Lenders’ future Fronting Exposure with respect to such Defaulting Lender with respect to future Letters of Credit issued under this Agreement, in accordance with Section 4.14; sixth, to the payment of any amounts owing to the Lenders, the Issuing Lenders or the Swingline Lender as a result of any judgment of a court of competent jurisdiction obtained by any Lender, any Issuing Lender or the Swingline Lender against such Defaulting Lender as a result of such Defaulting Lender’s breach of its obligations under this Agreement; seventh, so long as no Default or Event of Default exists, to the payment of any amounts owing to the Borrower as a result of any judgment of a court of competent jurisdiction obtained by the Borrower against such Defaulting Lender as a result of such Defaulting Lender’s breach of its obligations under this Agreement; and eighth, to such Defaulting Lender or as otherwise directed by a court of competent jurisdiction; provided that if (1) such payment is a payment of the principal amount of any Loans or funded participations in Letters of Credit or Swingline Loans in respect of which such Defaulting Lender has not fully funded its appropriate share, and (2) such Loans were made or the related Letters of Credit or Swingline Loans were issued at a time when the conditions set forth in Section 5.2 were satisfied or waived, such payment shall be applied solely to pay the Loans of, and funded participations in Letters of Credit or Swingline Loans owed to, all Non-Defaulting Lenders on a pro rata basis prior to being applied to the payment of any Loans of, or funded participations in Letters of Credit or Swingline Loans owed to, such Defaulting Lender until such time as all Loans and funded and unfunded participations in L/C Obligations and Swingline Loans are held by the Lenders pro rata in accordance with the Commitments without giving effect to Section 4.15(a)(iv). Any payments, prepayments or other amounts paid or payable to a Defaulting Lender that are applied (or held) to pay amounts owed by a Defaulting Lender or to post Cash Collateral pursuant to this Section 4.15(a)(ii) shall be deemed paid to and redirected by such Defaulting Lender, and each Lender irrevocably consents hereto. (iii) Certain Fees. (A) Each Defaulting Lender shall be entitled to receive a Facility Fee for any period during which such Lender is a Defaulting Lender only to extent allocable to the sum of (1) the outstanding principal amount of the Revolving Credit Loans funded by it, and (2) its Commitment Percentage of the stated amount of Letters of Credit and Swingline Loans for which it has provided Cash Collateral pursuant to Section 4.14.


 
52 (B) Each Defaulting Lender shall be entitled to receive Letter of Credit commissions pursuant to Section 3.3 for any period during which that Lender is a Defaulting Lender only to the extent allocable to its Commitment Percentage of the stated amount of Letters of Credit for which it has provided Cash Collateral pursuant to Section 4.14. (C) With respect to any Facility Fee or Letter of Credit commission not required to be paid to any Defaulting Lender pursuant to clause (A) or (B) above, the Borrower shall (1) pay to each Non-Defaulting Lender that portion of any such fee otherwise payable to such Defaulting Lender with respect to such Defaulting Lender’s participation in L/C Obligations or Swingline Loans that has been reallocated to such Non- Defaulting Lender pursuant to clause (iv) below, (2) pay to each applicable Issuing Lender and Swingline Lender, as applicable, the amount of any such fee otherwise payable to such Defaulting Lender to the extent allocable to such Issuing Lender’s or Swingline Lender’s Fronting Exposure to such Defaulting Lender, and (3) not be required to pay the remaining amount of any such fee. (iv) Reallocation of Participations to Reduce Fronting Exposure. All or any part of such Defaulting Lender’s participation in L/C Obligations and Swingline Loans shall be reallocated among the Non-Defaulting Lenders in accordance with their respective Commitment Percentages (calculated without regard to such Defaulting Lender’s Commitment) but only to the extent that such reallocation does not cause the aggregate Revolving Credit Exposure of any Non-Defaulting Lender to exceed such Non-Defaulting Lender’s Commitment. Subject to Section 10.16, no reallocation hereunder shall constitute a waiver or release of any claim of any party hereunder against a Defaulting Lender arising from that Lender having become a Defaulting Lender, including any claim of a Non-Defaulting Lender as a result of such Non-Defaulting Lender’s increased exposure following such reallocation. (v) Cash Collateral, Repayment of Swingline Loans. If the reallocation described in clause (iv) above cannot, or can only partially, be effected, the Borrower shall, without prejudice to any right or remedy available to it hereunder or under law, (x) first, repay Swingline Loans in an amount equal to the Swingline Lenders’ Fronting Exposure and (y) second, Cash Collateralize the Issuing Lenders’ Fronting Exposure in accordance with the procedures set forth in Section 4.14. (b) Defaulting Lender Cure. If the Borrower, the Administrative Agent, the Issuing Lenders and the Swingline Lender agree in writing that a Lender is no longer a Defaulting Lender, the Administrative Agent will so notify the parties hereto, whereupon as of the effective date specified in such notice and subject to any conditions set forth therein (which may include arrangements with respect to any Cash Collateral), such Lender will, to the extent applicable, purchase at par that portion of outstanding Loans of the other Lenders or take such other actions as the Administrative Agent may determine to be necessary to cause the Loans and funded and unfunded participations in Letters of Credit and Swingline Loans to be held pro rata by the Lenders in accordance with the Commitments (without giving effect to Section 4.15(a)(iv)), whereupon such Lender will cease to be a Defaulting Lender; provided that no adjustments will be made retroactively with respect to fees accrued or payments made by or on behalf of the Borrower while that Lender was a Defaulting Lender; and provided, further, that except to the extent otherwise expressly agreed by the affected parties, no change hereunder from Defaulting Lender to Non- Defaulting Lender will constitute a waiver or release of any claim of any party hereunder arising from that Lender’s having been a Defaulting Lender. (c) New Swingline Loans/Letters of Credit. So long as any Lender is a Defaulting Lender, (i) the Swingline Lender shall not be required to fund any Swingline Loans unless it is satisfied that it will


 
53 have no Fronting Exposure after giving effect to such Swingline Loan and (ii) the Issuing Lenders shall not be required to issue, extend, renew or increase any Letter of Credit unless it is satisfied that it will have no Fronting Exposure after giving effect thereto. ARTICLE V CONDITIONS OF LENDING SECTION 5.1 Conditions Precedent of Initial Extension of Credit. This Agreement and the obligation of each Lender to make Loans on the occasion of the initial borrowing and the obligations of each Issuing Lender to issue Letters of Credit hereunder shall not become effective until the date on which the Administrative Agent shall have received executed counterparts of this Agreement by each of the parties hereto and each of the following, each (unless otherwise specified below) dated the Closing Date, in form and substance satisfactory to the Administrative Agent and (except for the items in clauses (a), (b) and (c)) in sufficient copies for each Lender: (a) Certified copies of (i) the certificate of incorporation and by-laws of the Borrower, (ii) the resolutions of the Board of Directors of the Borrower authorizing the making and performance by the Borrower of this Agreement and the transactions contemplated hereby, and (iii) documents evidencing all other necessary corporate action and governmental approvals, if any, with respect to this Agreement. (b) A certificate of the Secretary or an Assistant Secretary of the Borrower certifying the names and true signatures of the officers of the Borrower authorized to sign this Agreement and the other documents to be delivered hereunder. (c) A certificate from the Secretary of State of the State of Delaware dated a date reasonably close to the Closing Date as to the good standing of and certificate of incorporation filed by the Borrower. (d) A favorable opinion of Moore & Van Allen, PLLC, special counsel to the Borrower, substantially in the form of Exhibit I hereto. (e) A certificate of a Responsible Officer of the Borrower certifying that (i) no Default or Event of Default as of the date thereof has occurred and is continuing, and (ii) the representations and warranties contained in Article VI are true and correct on and as of the date thereof as if made on and as of such date. (f) Notes, payable to the respective Lenders that have requested the same prior to the Closing Date, duly completed and executed. (g) (i) The Administrative Agent shall have received, at least five days prior to the Closing Date, all documentation and other information regarding the Borrower requested in connection with applicable “know your customer” and anti-money laundering laws, including the PATRIOT Act, to the extent requested in writing of the Borrower at least 10 days prior to the Closing Date and (ii) to the extent the Borrower qualifies as a “legal entity customer” under the Beneficial Ownership Regulation, at least five days prior to the Closing Date, any Lender that has requested, in a written notice to the Borrower at least 10 days prior to the Closing Date, a Beneficial Ownership Certification in relation to the Borrower shall have received such Beneficial Ownership Certification (provided that, upon the execution and delivery by


 
54 such Lender of its signature page to this Agreement, the condition set forth in this clause (ii) shall be deemed to be satisfied). (h) Such other documents relating to this Agreement and the transactions contemplated hereby as the Administrative Agent may reasonably request, including a Notice of Account Designation specifying the account or accounts to which the proceeds of any Loans made on or after the Closing Date are to be disbursed. Furthermore, (a) the Administrative Agent shall have received all fees and other amounts due and payable on or prior to the Closing Date, including, to the extent invoiced, reimbursement or payment of all out-of-pocket expenses required to be reimbursed or paid by the Borrower hereunder and (b) all existing Indebtedness of the Borrower under that certain Second Amended and Restated Credit Agreement dated as of June 18, 2018 among the Borrower, the lenders party thereto and JPMorgan Chase Bank, N.A., as administrative agent, shall be repaid in full, all commitments (if any) in respect thereof shall have been terminated and all guarantees therefor and security therefor (if any) shall be released, and the Administrative Agent shall have received pay-off letters in form and substance satisfactory to it evidencing such repayment, termination and release. The Administrative Agent shall notify the Borrower and the Lenders of the Closing Date, and such notice shall be conclusive and binding. Without limiting the generality of the provisions of Section 9.3(c) and Section 9.4, for purposes of determining compliance with the conditions specified in this Section 5.1, the Administrative Agent and each Lender that has signed this Agreement shall be deemed to have consented to, approved or accepted or to be satisfied with, each document or other matter required thereunder to be consented to or approved by or acceptable or satisfactory to a Lender unless the Administrative Agent shall have received notice from such Lender prior to the proposed Closing Date specifying its objection thereto. SECTION 5.2 Conditions Precedent to Each Extension of Credit. The obligation of each Lender to make a Loan on the occasion of each borrowing (including without limitation the initial borrowing) and the obligation of each Issuing Lender to issue, amend, renew or extend any Letter of Credit shall be subject to the further conditions precedent that on the date of such borrowing (or issuance, amendment, renewal or extension of a Letter of Credit, as applicable) the following statements shall be true (and each of the giving of the applicable Notice of Borrowing or Letter of Credit Application, as the case may be, and the acceptance by the Borrower of the proceeds of such Extension of Credit (or such Letter of Credit, as applicable) shall constitute a representation and warranty by the Borrower that on the date of such Extension of Credit such statements are true): (a) The representations and warranties contained in Article VI (excluding, in the case of any Extension of Credit or issuance or extension of a Letter of Credit, after the initial Extension of Credit, the Excluded Representations) are true and correct in all material respects on and as of the date of such borrowing, issuance or extension, as applicable, before and after giving effect to such borrowing, issuance or extension, as applicable, and to the application of the proceeds therefrom, as though made on and as of such date (unless expressly stated to relate to an earlier date, in which case such representations and warranties shall be true and correct in all material respects as of such earlier date); and (b) No Default or Event of Default has occurred and is continuing, or would result from such borrowing (or the issuance, amendment, renewal or extension of such Letter of Credit, as applicable) or from the application of the proceeds thereof.


 
55 ARTICLE VI REPRESENTATIONS AND WARRANTIES The Borrower represents and warrants as follows: SECTION 6.1 Organization; Power; Qualification. The Borrower and each of its Material Subsidiaries (i) is duly organized, validly existing and in good standing under the laws of its jurisdiction of organization, (ii) is duly qualified and in good standing in each other jurisdiction in which it owns or leases property or in which the conduct of its business requires it to so qualify or be licensed and where, in each case, failure so to qualify and be in good standing would not reasonably be expected to have a Material Adverse Effect and (iii) has all requisite power and authority to own or lease and operate its Property and to carry on its business as now conducted and as proposed to be conducted. SECTION 6.2 Authorization; Non-contravention; Compliance with Laws and Agreements. The making and performance by the Borrower of this Agreement are within the Borrower’s corporate powers, have been duly authorized by all necessary corporate action, and do not violate (i) any provision of the Borrower’s certificate of incorporation or by-laws, (ii) any agreement, indenture or other contractual restriction binding on the Borrower, (iii) any law, rule or regulation (including, without limitation, the Securities Act and the Exchange Act and the regulations thereunder, and Regulations T, U or X), or (iv) any order, writ, judgment, injunction, decree, determination or award binding on the Borrower. The Borrower is not in violation of any such law, rule, regulation, order, writ, judgment, injunction, decree, determination or award or in breach of any contractual restriction binding upon it, except for such violation or breach which would not reasonably be expected to have a Material Adverse Effect. SECTION 6.3 Governmental Approvals. No authorization or approval or other action by, and no notice to or filing with, any Governmental Authority is required (other than those which have been obtained) for the making and performance by the Borrower of this Agreement or for the legality, validity, binding effect or enforceability thereof. SECTION 6.4 Enforceability. This Agreement constitutes a legal, valid and binding obligation of the Borrower, enforceable against the Borrower in accordance with its terms, except as may be limited by bankruptcy, insolvency, reorganization, moratorium or other similar laws relating to or affecting the rights of creditors generally and except as the enforceability of this Agreement is subject to the application of general principles of equity (regardless of whether considered in a proceeding in equity or at law), including, without limitation, (i) the possible unavailability of specific performance, injunctive relief or any other equitable remedy and (ii) concepts of materiality, reasonableness, good faith and fair dealing. SECTION 6.5 Financial Statements. (a) The consolidated balance sheet of the Borrower and its Consolidated Subsidiaries as at December 31, 2020, and the related consolidated statements of operations, cash flows and changes in stockholders’ equity for the fiscal year ended on such date, audited by PricewaterhouseCoopers LLP, copies of which have heretofore been furnished to each Lender, are complete and correct in all material respects and present fairly the consolidated financial condition of the Borrower and its Consolidated Subsidiaries as of such date, and the consolidated results of their operations, cash flows and changes in stockholders’ equity for the fiscal year then ended. (b) All such financial statements, including the related schedules and notes thereto, have been prepared in accordance with GAAP for the periods involved.


 
56 (c) As of the date hereof, neither the Borrower nor any of its Consolidated Subsidiaries has any material Contingent Obligation or liability for taxes, long-term lease or unusual forward or long-term commitment which is not reflected herein or in the schedules and exhibits hereto or in the foregoing financial statements or in the notes thereto. SECTION 6.6 Material Adverse Change. Since December 31, 2020, no Material Adverse Change has occurred. SECTION 6.7 Litigation, Etc. Except as disclosed in Schedule 6.7, no litigation, investigation or proceeding of or before any court or Governmental Authority is pending or, to the knowledge of the Borrower, threatened by or against the Borrower or any of its Material Subsidiaries or against any of its or their respective Property or revenues (i) with respect to this Agreement or the Notes or any of the transactions contemplated hereby or (ii) which, in the reasonable judgment of the Borrower, would reasonably be expected to have a Material Adverse Effect. SECTION 6.8 Margin Stock. The Borrower is not engaged in the business of extending credit for the purpose of purchasing or carrying Margin Stock, and no proceeds of any Extension of Credit will be used for the purpose, whether immediate, incidental or ultimate, of buying or carrying Margin Stock, or for any purpose that violates or would be inconsistent with the provisions of Regulations T, U and X. SECTION 6.9 Investment Company Act. The Borrower is not an “investment company”, or a Person “controlled by” an “investment company”, as such terms are defined in the Investment Company Act. SECTION 6.10 Accuracy of Disclosure. All information that has been made available by the Borrower or any of its representatives to the Administrative Agent or any Lender in connection with the negotiation of this Agreement was, on or as of the dates on which such information was made available, complete and correct in all material respects and did not contain any untrue statement of a material fact or omit to state a fact necessary to make the statements contained therein not misleading in light of the time and circumstances under which such statements were made. SECTION 6.11 ERISA. A copy of the most recent Annual Report (5500 Series Form), including all attachments thereto, filed with the IRS for each Plan, has been provided to the Administrative Agent and fairly presents the funding status of each Plan as of the date of each such Annual Report. There has been no deterioration in any single Plan’s funding status, or, collectively, all of the Plan’s funding status since the date of such Annual Report that would reasonably be expected to have a Material Adverse Effect. The Borrower has provided the Administrative Agent with a list of all Plans and Multiemployer Plans and all available information with respect to direct, indirect, or potential withdrawal liability to any Multiemployer Plan of the Borrower or any member of a Controlled Group. SECTION 6.12 Compliance with Laws. The Borrower and each of its Material Subsidiaries is in compliance with all laws, statutes, rules, regulations and orders binding on or applicable to the Borrower or such Material Subsidiary (including, without limitation, ERISA and all Environmental Laws) and all of their respective Property, subject to the possible implications of the litigation and proceedings described in Schedule 6.7 and except to the extent failure to so comply would not (either individually or in the aggregate) reasonably be expected to have a Material Adverse Effect. SECTION 6.13 Tax Matters. Each of the Borrower and its Subsidiaries has filed or caused to be filed all tax returns which to the knowledge of the Borrower are required to be filed and has paid all taxes shown to be due and payable on said returns or on any assessments made against it or any of its Property and all other taxes, duties, levies, imposts, deductions, assessments, fees or other charges or


 
57 withholdings imposed on it or any of its Property by any Governmental Authority (other than those the amount or validity of which is currently being contested in good faith by appropriate proceedings and with respect to which reserves in conformity with GAAP have been provided on the books of the Borrower or its Subsidiaries, as the case may be, or those the failure to pay which, in the aggregate, would not reasonably be expected to have a Material Adverse Effect); and (i) no material tax liens have been filed and (ii) to the knowledge of the Borrower, no claims are being asserted with respect to any such taxes, fees or other charges that, if assessed, would reasonably be expected to have a Material Adverse Effect, other than as disclosed in Schedule 6.13. SECTION 6.14 Subsidiaries. As of the Closing Date, Schedule 6.14 contains an accurate list of all of the presently existing Subsidiaries and Material Subsidiaries, setting forth their respective jurisdictions of incorporation and the percentage of their respective outstanding capital stock or other equity interests owned by the Borrower or other Subsidiaries and all of the issued and outstanding capital stock or other equity interests of the Subsidiaries have been duly authorized and issued and are fully paid and non- assessable. SECTION 6.15 Anti-Corruption Laws; Anti-Money Laundering Laws and Sanctions. The Borrower has implemented and maintains in effect policies and procedures designed to ensure compliance by the Borrower, its Subsidiaries and their respective directors, officers and employees with all laws, rules and regulations (federal, state and local), and the Borrower, its Subsidiaries and their respective officers and employees and to the knowledge of the Borrower its directors and agents, are in compliance with Anti-Corruption Laws, anti-money laundering laws and applicable Sanctions in all material respects. None of (a) the Borrower, any Subsidiary or to the knowledge of the Borrower or such Subsidiary any of their respective directors, officers or employees, or (b) to the knowledge of the Borrower, any agent of the Borrower or any Subsidiary that will act in any capacity in connection with or benefit from the Credit Facility, is a Sanctioned Person. No Extension of Credit, use of proceeds or other transactions contemplated by the Loan Documents will violate any Anti- Corruption Law, anti-money laundering laws or applicable Sanctions. SECTION 6.16 Beneficial Ownership. As of the Closing Date, to the best knowledge of the Borrower, the information included in the Beneficial Ownership Certification provided on or prior to the Closing Date to any Lender in connection with this Agreement is true and correct in all respects. SECTION 6.17 Affected Financial Institution. The Borrower is not an Affected Financial Institution. SECTION 6.18 Covered Entity. The Borrower is not a Covered Entity. ARTICLE VII COVENANTS OF THE BORROWER So long as any Commitment shall remain in effect and until payment in full of all amounts payable by the Borrower hereunder, unless the Required Lenders shall otherwise consent in writing: SECTION 7.1 Financial Statements. The Borrower will furnish to each Lender: (a) as soon as available, but in any event within ninety (90) days after the end of each fiscal year of the Borrower, copies of the consolidated balance sheet of the Borrower and its Consolidated Subsidiaries as of the end of such year and of the related consolidated statements of operations, cash flows and changes in stockholders’ equity for such year, setting forth in each case in comparative form the figures


 
58 for the previous year, certified without qualification arising out of the scope of the audit, by independent certified public accountants of nationally recognized standing; (b) as soon as available, but in any event not later than forty-five (45) days after the end of each of the first three quarterly periods of each fiscal year of the Borrower, copies of the unaudited consolidated balance sheet of the Borrower and its Consolidated Subsidiaries as of the end of such quarter and of the related unaudited consolidated statements of operations, cash flows and changes in stockholders’ equity of the Borrower and its Consolidated Subsidiaries for such quarterly period and the portion of the fiscal year through such date, setting forth in each case in comparative form figures for the previous year, certified by a Responsible Officer (subject to normal year-end audit adjustments); (c) concurrently with the delivery of the financial statements referred to in clauses (a) and (b) above, a Compliance Certificate; (d) promptly upon the filing thereof, copies of all registration statements and annual and quarterly reports which the Borrower files with the Securities and Exchange Commission; and (e) (x) such other information relating to the Borrower and its Subsidiaries as the Administrative Agent or any Lender may from time to time reasonably request and (y) information and documentation reasonably requested by the Administrative Agent or any Lender for purposes of compliance with applicable “know your customer”, Anti-Corruption Laws and anti-money laundering laws, including the PATRIOT Act and the Beneficial Ownership Regulation. Documents required to be delivered pursuant to clauses (a) and (b) of this Section 7.1 shall be deemed to have been delivered on the date on which such documents are filed for public availability on the Securities and Exchange Commission’s Electronic Data Gathering and Retrieval System; provided that the Borrower will provide electronic versions or paper copies thereof to the Administrative Agent upon request. All such financial statements shall be complete and correct in all material respects and shall be prepared in reasonable detail and in accordance with GAAP applied consistently throughout the periods reflected therein (except as approved by such accountants or officer, as the case may be, and disclosed therein). The Borrower hereby acknowledges that (a) the Administrative Agent and/or the Arrangers will make available to the Lenders and the Issuing Lenders materials and/or information provided by or on behalf of the Borrower hereunder (collectively, “Borrower Materials”) by posting the Borrower Materials on the Platform and (b) certain of the Lenders may be “public-side” Lenders (i.e., Lenders that do not wish to receive material non-public information with respect to the Borrower or its securities) (each, a “Public Lender”). The Borrower hereby agrees that it will use commercially reasonable efforts to identify that portion of the Borrower Materials that may be distributed to the Public Lenders and that (w) all such Borrower Materials shall be clearly and conspicuously marked “PUBLIC” which, at a minimum, means that the word “PUBLIC” shall appear prominently on the first page thereof; (x) by marking Borrower Materials “PUBLIC,” the Borrower shall be deemed to have authorized the Administrative Agent, the Arrangers, the Issuing Lenders and the Lenders to treat such Borrower Materials as not containing any material non-public information (although it may be sensitive and proprietary) with respect to the Borrower or its securities for purposes of United States federal and state securities laws (provided, however, that to the extent such Borrower Materials constitute Information, they shall be treated as set forth in Section 10.10); (y) all Borrower Materials marked “PUBLIC” are permitted to be made available through a portion of the Platform designated “Public Investor;” and (z) the Administrative Agent and the Arrangers shall be entitled to treat any Borrower Materials that are not marked “PUBLIC” as being suitable only for posting on a portion of the Platform not designated “Public Investor.”


 
59 SECTION 7.2 Use of Proceeds. The Borrower will, and will cause each Subsidiary to, use the proceeds of any Extension of Credit solely for its general corporate purposes; provided that neither the Administrative Agent nor any Lender shall have any responsibility as to the use of any such proceeds. The Borrower will not request any Loan or Letter of Credit, and the Borrower shall not use, and shall procure that its Subsidiaries shall not use, the proceeds of any Loan or Letter of Credit (i) in furtherance of an offer, payment, promise to pay, or authorization of the payment or giving of money, or anything else of value, to any Person in violation of any Anti-Corruption Laws or anti-money laundering laws, (ii) for the purpose of funding, financing or facilitating any activities, business or transaction of or with any Sanctioned Person, or in any Sanctioned Country or (iii) in any manner that would result in the violation of any Sanctions applicable to any party hereto. SECTION 7.3 Certain Notices. (a) The Borrower will give notice in writing to the Administrative Agent and the Lenders of (i) the occurrence of any Default or Event of Default and (ii) any change in the rating of the long-term senior unsecured non-credit-enhanced debt obligations of the Borrower by Moody’s, S&P or Fitch, each such notice to be given promptly and in any event within five (5) days after occurrence thereof. (b) Promptly after the Borrower, any member of a Controlled Group or any administrator of a Plan: (i) receives the notification referred to in clauses (i), (iv) or (vii) of Section 8.1(h); (ii) has knowledge of (A) the occurrence of a Reportable Event with respect to a Plan; (B) any event which has occurred or any action which has been taken to amend or terminate a Plan as referred to in clauses (ii) and (vi) of Section 8.1(h); (C) any event which has occurred or any action which has been taken which could result in complete withdrawal, partial withdrawal, or secondary liability for withdrawal liability payments with respect to a Multiemployer Plan as referred to in clause (vii) of Section 8.1(h); or (D) any action which has been taken in furtherance of, any agreement which has been entered into for, or any petition which has been filed with a United States district court for, the appointment of a trustee for a Plan as referred to in clause (iii) of Section 8.1(h), or (iii) files a notice of intent to terminate a Plan with the IRS or the PBGC; or files with the IRS a request pursuant to Section 412(d) of the Code for a variance from the minimum funding standard for a Plan; or files a return with the IRS with respect to the tax imposed under Section 4971(a) of the Code for failure to meet the minimum funding standards established under Section 412 of the Code for a Plan, the Borrower will furnish to the Administrative Agent a copy of any notice received, request or petition filed and agreement entered into; the most recent Annual Report (Form 5500 Series) and attachments thereto for the Plan; the most recent actuarial report for the Plan; any notice, return or materials required to be filed with the IRS in connection with the event, action or filing; and a written statement of a Responsible Officer describing the event or the action taken and the reasons therefor. SECTION 7.4 Conduct of Business. The Borrower will, and will cause each Material Subsidiary to, do all things necessary (if applicable) to remain duly incorporated, validly existing and in good standing as a domestic corporation in its jurisdiction of incorporation and maintain all requisite authority to conduct its business in each jurisdiction in which its business is conducted except where such failure to remain in good standing or to maintain such authority would not reasonably be expected to have a Material Adverse Effect. The Borrower will continue to engage in its business substantially as conducted


 
60 on the Closing Date, and, except where such failure would not reasonably be expected to have a Material Adverse Effect, will cause its Subsidiaries to continue to engage in their business substantially as conducted on the Closing Date. SECTION 7.5 Taxes. The Borrower will, and will cause each Subsidiary to, pay when due all taxes, duties, imposts, deductions, assessments, fees and governmental charges, withholdings and levies upon it or its income, profits or Property, except those which are being contested in good faith by appropriate proceedings and with respect to which adequate reserves have been set aside and except where such failure would not reasonably be expected to have a Material Adverse Effect. SECTION 7.6 Insurance. The Borrower will, and will cause each Material Subsidiary to, maintain with financially sound and reputable insurance companies insurance on all or substantially all of its Property, in such amounts and covering such risks as is consistent with sound business practice for Persons in substantially the same industry as the Borrower or such Subsidiary, and the Borrower will furnish to any Lender upon request full information as to the insurance carried. SECTION 7.7 Compliance with Laws. The Borrower will, and will cause each Subsidiary to, comply with all laws, rules, regulations, orders, writs, judgments, injunctions, decrees or awards to which it may be subject (including ERISA and applicable Environmental Laws), except where the failure to so comply would not reasonably be expected to have a Material Adverse Effect. The Borrower will maintain in effect and enforce policies and procedures designed to ensure compliance by the Borrower, its Subsidiaries and their respective directors, officers and employees and agents with all laws, rules and regulations (federal, state and local). SECTION 7.8 Maintenance of Properties. The Borrower will, and will cause each Material Subsidiary to, do all things necessary to maintain, preserve, protect and keep its Property in good repair, working order and condition, and make all necessary and proper repairs, renewals and replacements so that its business carried on in connection therewith may be properly conducted at all times, except where the failure to so maintain, preserve, protect and repair would not reasonably be expected to have a Material Adverse Effect. SECTION 7.9 Inspection. The Borrower will, and will cause each Subsidiary to, permit the Administrative Agent and the Lenders (coordinated through the Administrative Agent), at their sole cost and expense (except that if an Event of Default has occurred and is continuing, the Borrower will indemnify the Administrative Agent and the Lenders against such cost and expense), to inspect any of the Property, corporate books and financial records of the Borrower and such Subsidiary, to examine and make copies of the books of account and other financial records of the Borrower and each Subsidiary, and to discuss the affairs, finances and accounts of the Borrower and each Subsidiary with, and to be advised as to the same by, their respective officers upon reasonable notice and at such reasonable times during the Borrower’s normal business hours and intervals as the Lenders may designate. SECTION 7.10 Merger. The Borrower will not, and will not permit any Material Subsidiary to, merge or consolidate with or into any other Person, except that (a) a Material Subsidiary may merge into the Borrower or another Material Subsidiary and (b) the Borrower or any Material Subsidiary may merge or consolidate with any other Person, provided that (1) in the case of such a merger or consolidation involving the Borrower, the Borrower shall be the continuing or surviving corporation and (2) in the case of such a merger or consolidation involving a Material Subsidiary, a Material Subsidiary shall be the continuing or surviving corporation, provided further that nothing herein shall be deemed to prohibit a merger or consolidation by a Subsidiary with or into another Person (other than the Borrower) in connection with an exchange or restructuring of bottling territories permitted under Section 7.13(g), and provided


 
61 further that in each case, prior to and after giving effect to any such merger or consolidation, no Default or Event of Default shall exist. SECTION 7.11 Preservation of Material Agreements. Except in connection with dispositions of assets or other transactions permitted by this Agreement, the Borrower will, and will cause its Subsidiaries to, use commercially reasonable efforts to maintain in full force and effect all material agreements necessary for the conduct of the Borrower’s business, except where such failure to so use such commercially reasonable efforts would not reasonably be expected to have a Material Adverse Effect. SECTION 7.12 Liens. The Borrower will not, and will not permit any Subsidiary to, create, incur, or suffer to exist any Lien in or on the Property of the Borrower or any of its Subsidiaries, whether now owned or hereafter acquired, except: (a) the existing Liens listed in Schedule 7.12 hereto and other Liens existing on the Closing Date securing an obligation in an amount, in the case of each such obligation, of less than $5,000,000 (and extension, renewal and replacement Liens upon the same Property previously subject to such an existing Lien, provided the amount secured by each Lien constituting such an extension, renewal or replacement Lien shall not exceed the amount secured by the Lien previously existing); (b) Liens arising from taxes, assessments, or claims described in Section 7.14 hereof that are not yet due or that remain payable without penalty or to the extent permitted to remain unpaid under the proviso to such Section 7.14; (c) deposits or pledges to secure worker’s compensation, unemployment insurance, old age benefits or other social security obligations, or in connection with or to secure the performance of bids, tenders, trade contracts or leases, or to secure statutory obligations, or stay, surety or appeal bonds, or other pledges or deposits of like nature and all in the ordinary course of business; (d) Liens on Property securing all or part of the purchase price thereof (including without limitation Liens in respect of leases of personal or real Property) and Liens (whether or not assumed) existing in Property at the time of purchase thereof by the Borrower or a Subsidiary, as the case may be (and extension, renewal and replacement Liens upon the same property previously subject to a Lien described in this clause (d), provided the amount secured by each Lien constituting such extension, renewal or replacement shall not exceed the amount secured by the Lien previously existing), provided that each such Lien is confined solely to the Property so purchased, improvements thereto and proceeds thereof; (e) Liens resulting from progress payments or partial payments under United States Government contracts or subcontracts thereunder; (f) Liens arising from legal proceedings, so long as such proceedings are being contested in good faith by appropriate proceedings diligently conducted and execution is stayed on all judgments resulting from any such proceedings; (g) zoning restrictions, easements, minor restrictions on the use of real property, minor irregularities in title thereto and other minor Liens that do not in the aggregate materially detract from the value of a Property to, or materially impair its use in the business of, the Borrower or such Subsidiary; and (h) other Liens securing Indebtedness in an aggregate amount, as to all Indebtedness secured by Liens under this clause (h), not exceeding, when aggregated with the aggregate amount of Indebtedness permitted by Section 7.15(ii), $150,000,000 at any time outstanding.


 
62 SECTION 7.13 Asset Dispositions. The Borrower will not, and will not permit any Subsidiary to, sell, convey, assign, abandon or otherwise transfer or dispose of, voluntarily or involuntarily (any of the foregoing being referred to in this Section 7.13 as a “transaction” and any series of related transactions constituting but a single transaction), any of its Property, tangible or intangible, except: (a) transactions (including sales of trucks, vending machines and other equipment) in the ordinary course of business; (b) transactions between Consolidated Subsidiaries or between the Borrower and Consolidated Subsidiaries; (c) any sale of real property not used in the current operations of the Borrower, provided that the aggregate proceeds of sales pursuant to this clause (c) shall not exceed $150,000,000 in any fiscal year of the Borrower; (d) other sales, conveyances, assignments or other transfers or dispositions in immediate exchange for cash or tangible assets, subject to prior approval in each case by the Required Lenders; (e) other sales, conveyances, assignments or other transfers or dispositions during any fiscal year of the Borrower of assets with a book value that do not exceed an aggregate of fifteen percent (15.0%) of the book value of Consolidated Total Assets of the Borrower (determined at the time of making such sale, conveyance, assignment or other transfer or disposition by reference to the Borrower’s financial statements most recently delivered pursuant to Section 7.1(a) or (b)); (f) the sale for cash of any and all accounts receivable in a face amount not to exceed an aggregate of ten percent (10.0%) of the book value of Consolidated Total Assets of the Borrower (determined at the time of making such sale by reference to the Borrower’s financial statements most recently delivered pursuant to Section 7.1(a) or (b)); (g) dispositions of Persons, assets, franchises and businesses after the Closing Date in connection with an exchange or restructuring of bottling territories; provided that on a pro forma basis after giving effect to any such restructuring of, or to any such disposition and the related acquisition of bottling territories by the Borrower or its Subsidiaries, the Borrower remains in compliance with the covenants set forth in Sections 7.16 and 7.17; and (h) transfers or dispositions for cash, other than as provided by clauses (a) through (g) above, if on the date of the consummation thereof, if such date is prior to the Maturity Date, the Commitments are permanently reduced on such date by the amount equal to the cash proceeds of such transfers or dispositions less the amount of transaction costs and income taxes incurred by the Borrower or one of its Subsidiaries in connection with such transfer or disposition. SECTION 7.14 Payment of Claims. The Borrower will, and will cause each Subsidiary to, pay or discharge any of the following described claims and liabilities which are material to the Borrower and its Subsidiaries when taken as a whole: (a) on or prior to the date when due, all lawful claims of materialmen, mechanics, carriers, warehousemen, landlords and other like Persons which, if unpaid, might result in the creation of a Lien upon any such Property; and (b) on or prior to the date when due, all other lawful claims which, if unpaid, might result in the creation of a Lien upon any such Property (other than Liens not forbidden by Section 7.12 hereof) or


 
63 which, if unpaid, might give rise to a claim entitled to priority over general creditors of the Borrower or such Subsidiary in a case under the Bankruptcy Code or in any insolvency proceeding or dissolution or winding-up involving the Borrower or such Subsidiary; provided that unless and until foreclosure, distraint, levy, sale or similar proceedings shall have been commenced, the Borrower or such Subsidiary need not pay or discharge any such claim or current liability so long as the validity thereof is contested in good faith and by appropriate proceedings diligently conducted and so long as such reserves or other appropriate provisions as may be required by GAAP shall have been made therefor and so long as such failure to pay or discharge would not reasonably be expected to have a Material Adverse Effect. SECTION 7.15 Subsidiary Debt. Except as disclosed in Schedule 7.15, the Borrower will not permit any Subsidiary to incur or permit to exist any Indebtedness except (i) Indebtedness to the Borrower or another Subsidiary and (ii) other Indebtedness in an aggregate amount not exceeding, when aggregated with the aggregate amount of Indebtedness secured by Liens permitted by Section 7.12(h), $150,000,000 at any time outstanding. SECTION 7.16 Consolidated Cash Flow/Fixed Charges Ratio. The Borrower will not permit the Consolidated Cash Flow/Fixed Charges Ratio, as determined quarterly as of the last day of each fiscal quarter of the Borrower (and treating such fiscal quarter as having been completed), to be less than 1.50 to 1.0. SECTION 7.17 Consolidated Funded Indebtedness/Cash Flow Ratio. The Borrower will not permit the Consolidated Funded Indebtedness/Cash Flow Ratio, as determined quarterly as of the last day of each fiscal quarter of the Borrower (and treating such fiscal quarter as having been completed), to exceed 6.00 to 1.0. ARTICLE VIII DEFAULT SECTION 8.1 Events of Default. If any of the following events (“Events of Default”) shall occur and be continuing: (a) The Borrower shall fail to pay any principal of any Loan or any Reimbursement Obligation when the same becomes due and payable; or the Borrower shall fail to pay any interest on any Loan or any Letter of Credit fees or Facility Fee or any other amount payable hereunder when due and such failure remains unremedied for three (3) Business Days; or (b) Any representation or warranty made by the Borrower herein or by the Borrower (or any of its officers) in any certificate delivered in connection with this Agreement shall prove to have been incorrect in any material respect when made or deemed made; or (c) (i) The Borrower shall fail to perform or observe any term, covenant or agreement contained in Sections 7.2, 7.3(a), 7.10, 7.16 or 7.17, (ii) the Borrower shall fail to perform or observe the covenant contained in Section 7.1 and such failure remains unremedied for five (5) Business Days or (iii) Borrower shall fail to perform or observe any other term, covenant or agreement contained in this Agreement on its part to be performed or observed, and such failure, in the case of this clause (iii), remains unremedied for thirty (30) days after notice thereof shall have been given to the Borrower by the Administrative Agent; or


 
64 (d) The Borrower or any of its Subsidiaries shall fail to pay any principal of or interest on any other Indebtedness which is outstanding in an aggregate principal amount of at least $100,000,000, or its equivalent in other currencies (in this clause (d) called “Material Indebtedness”), in the aggregate when the same becomes due and payable (whether at scheduled maturity, by required prepayment, acceleration, demand or otherwise); or any other event shall occur or condition shall exist under any agreement or instrument relating to any Material Indebtedness and shall continue after the applicable grace period, if any, specified in such agreement or instrument, if the effect of such event or condition is to accelerate, or to permit the acceleration of, the maturity of such Material Indebtedness, or to require the same to be prepaid or defeased (other than by a regularly required payment); or (e) The Borrower or any of its Subsidiaries shall generally not pay its debts as such debts become due, or shall admit in writing its inability to pay its debts generally, or shall make a general assignment for the benefit of creditors; or any proceeding shall be instituted by or against the Borrower or any of its Subsidiaries seeking to adjudicate it a bankrupt or insolvent, or seeking liquidation, winding up, reorganization, arrangement, adjustment, protection, relief, or composition of it or its debts under any law relating to bankruptcy, insolvency, reorganization or relief of debtors, or seeking the entry of an order for relief or the appointment of a receiver, trustee, custodian or other similar official for it or for any substantial part of its Property and such proceeding shall remain undismissed or unstayed for a period of sixty (60) days; or the Borrower or any of its Subsidiaries shall take any corporate action to authorize any of the actions set forth above in this subsection (e); or (f) (i) The Borrower or any of its Subsidiaries shall commence any case, proceeding or other action (A) under any existing or future law of any jurisdiction, domestic or foreign, relating to bankruptcy, insolvency, reorganization or relief of debtors, seeking to have an order for relief entered with respect to it, or seeking to adjudicate it a bankrupt or insolvent, or seeking liquidation, winding up, reorganization, arrangement, adjustment, protection, relief or composition with respect to it or its debts under any such law, or (B) seeking appointment of a receiver, trustee, custodian, conservator or other similar official for it or for all or any substantial part of its Property, or the Borrower or any of its Subsidiaries shall make a general assignment for the benefit of its creditors; or (ii) there shall be commenced against the Borrower or any of its Subsidiaries any case, proceeding or other action of a nature referred to in clause (i) above which (A) results in the entry of an order for relief or any such adjudication or appointment or (B) remains undismissed, undischarged or unbonded for a period of ninety (90) days; or (iii) there shall be commenced against the Borrower or any of its Subsidiaries any case, proceeding or other action seeking issuance of a warrant of attachment, execution, distraint or similar process against all or any substantial part of its Property which results in the entry of an order for any such relief which shall not have been vacated, discharged, or stayed or bonded pending appeal within sixty (60) days from the entry thereof; or (iv) the Borrower or any of its Subsidiaries shall take any action in furtherance of, or indicating its consent to, approval of, or acquiescence in, any of the acts set forth in clause (i), (ii), or (iii) above; or (g) A Change in Control shall occur; or (h) The Required Lenders shall determine in good faith (which determination shall be conclusive) that the potential liabilities associated with the events set forth in clauses (i) through (vii) below, individually or in the aggregate, would reasonably be expected to have a Material Adverse Effect: (i) The PBGC notifies a Plan pursuant to Section 4042 of ERISA by service of a complaint, threat of filing a law suit or otherwise of its determination that an event described in Section 4042(a) of ERISA has occurred, a Plan should be terminated or a trustee should be appointed for a Plan; or


 
65 (ii) Any action is taken to terminate a Plan pursuant to its provisions or the plan administrator files with the PBGC a notice of intent to terminate a Plan in accordance with Section 4041 of ERISA; or (iii) Any action is taken by a plan administrator to have a trustee appointed for a Plan pursuant to Section 4042 of ERISA; or (iv) A return is filed with the IRS, or a Plan is notified by the Secretary of the Treasury that a notice of deficiency under Section 6212 of the Code has been mailed, with respect to the tax imposed under Section 4971(a) of the Code for failure to meet the minimum funding standards established under Section 412 of the Code; or (v) A Reportable Event occurs with respect to a Plan; or (vi) Any action is taken to amend a Plan to become an employee benefit plan described in Section 4021(b)(1) of ERISA, causing a Plan termination under Section 4041(e) of ERISA; or (vii) The Borrower or any member of a Controlled Group receives a notice of liability or demand for payment on account of complete withdrawal under Section 4203 of ERISA, partial withdrawal under Section 4205 of ERISA or on account of becoming secondarily liable for withdrawal liability payments under Section 4204 of ERISA (sale of assets); or (i) The Borrower or any of its Subsidiaries shall fail within thirty (30) days to pay, bond or otherwise discharge any judgment or order for the payment of money, either singly or in the aggregate, in excess of $100,000,000, which is not stayed on appeal or otherwise being appropriately contested in good faith; then, and in any such event, the Administrative Agent (i) shall at the request, or may with the consent, of the Required Lenders, by notice to the Borrower, declare the obligation of each Lender to make Loans and of each Issuing Lender to issue Letters of Credit to be terminated, whereupon the same shall forthwith terminate, and (ii) shall at the request, or may with the consent, of the Required Lenders, by notice to the Borrower, declare the Loans, all interest thereon and all other amounts payable under this Agreement to be forthwith due and payable, whereupon the Loans, all such interest and all such other amounts shall become and be forthwith due and payable, without presentment, demand, protest or further notice of any kind, all of which are hereby expressly waived by the Borrower; provided, however, that in the event of an Event of Default with respect to the Borrower of the kind referred to in Section 8.1(e) or (f) above (A) the obligation of each Lender to make Loans and of each Issuing Lender to issue Letters of Credit shall automatically be terminated and (B) the Loans, all such interest and all such other amounts shall automatically become and be due and payable, without presentment, demand, protest or any notice of any kind, all of which are hereby expressly waived by the Borrower. SECTION 8.2 Actions in Respect of Letters of Credit upon Default. If any Event of Default shall have occurred and be continuing, the Administrative Agent may with the consent, or shall at the request, of the Required Lenders, irrespective of whether it is taking any of the actions described in Section 8.1 or otherwise, make demand upon the Borrower to, and forthwith upon such demand the Borrower will, (a) deposit in a Cash Collateral account opened by the Administrative Agent an amount equal to the Minimum Collateral Amount of the aggregate then undrawn and unexpired amount of all Letters of Credit then outstanding or (b) make such other arrangements in respect of the outstanding Letters of Credit as shall be acceptable to the Required Lenders. If at any time the Administrative Agent determines that any funds held in the Cash Collateral account are subject to any right or claim of any Person other than the Administrative Agent and the Lenders or that the total amount of such funds is less than the Minimum


 
66 Collateral Amount of the aggregate then undrawn and unexpired amount of all Letters of Credit, the Borrower will, forthwith upon demand by the Administrative Agent, pay to the Administrative Agent, as additional funds to be deposited and held in the Cash Collateral account, an amount sufficient to maintain the Minimum Collateral Amount of the aggregate then undrawn and unexpired amount of all Letters of Credit as to which the Administrative Agent determines to be free and clear of any such right and claim. Upon the drawing of any Letter of Credit, to the extent funds are on deposit in the Cash Collateral account, such funds shall be applied to reimburse the relevant Issuing Lender to the extent permitted by applicable law. After all such Letters of Credit shall have expired or been fully drawn upon and all other obligations of the Borrower hereunder and under the Notes shall have been paid in full, the balance, if any, in such Cash Collateral account shall be returned to the Borrower. SECTION 8.3 Exercise of Rights and Remedies. Notwithstanding anything to the contrary contained herein or in any other Loan Document, the authority to enforce rights and remedies hereunder and under the other Loan Documents against the Borrower shall be vested exclusively in, and all actions and proceedings at law in connection with such enforcement shall be instituted and maintained exclusively by, the Administrative Agent in accordance with Sections 8.1 and 8.2 for the benefit of all the Lenders and the Issuing Lenders; provided that the foregoing shall not prohibit (a) the Administrative Agent from exercising on its own behalf the rights and remedies that inure to its benefit (solely in its capacity as Administrative Agent) hereunder and under the other Loan Documents, (b) any Issuing Lender or the Swingline Lender from exercising the rights and remedies that inure to its benefit (solely in its capacity as an Issuing Lender or Swingline Lender, as the case may be) hereunder and under the other Loan Documents, (c) any Lender from exercising setoff rights in accordance with Section 4.6 (subject to the terms of Section 4.6), or (d) any Lender from filing proofs of claim or appearing and filing pleadings on its own behalf during the pendency of a proceeding relative to the Borrower under any Debtor Relief Law; and provided, further, that if at any time there is no Person acting as Administrative Agent hereunder and under the other Loan Documents, then (i) the Required Lenders shall have the rights otherwise ascribed to the Administrative Agent pursuant to Sections 8.1 and 8.2 and (ii) in addition to the matters set forth in clauses (b), (c) and (d) of the preceding proviso and subject to Section 4.6, any Lender may, with the consent of the Required Lenders, enforce any rights and remedies available to it and as authorized by the Required Lenders. SECTION 8.4 Crediting of Payments and Proceeds. In the event that the Obligations have been accelerated pursuant to Section 8.1 or the Administrative Agent or any Lender has exercised any remedy set forth in this Agreement or any other Loan Document, all payments received on account of the Obligations and all net proceeds from the enforcement of the Obligations shall, subject to the provisions of Sections 4.14 and 4.15, be applied by the Administrative Agent as follows: First, to payment of that portion of the Obligations constituting fees, indemnities, expenses and other amounts, including attorney fees, payable to the Administrative Agent in its capacity as such; Second, to payment of that portion of the Obligations constituting fees (other than Facility Fees and Letter of Credit fees payable to the Lenders), indemnities and other amounts (other than principal and interest) payable to the Lenders, the Issuing Lenders and the Swingline Lender under the Loan Documents, including attorney fees, ratably among the Lenders, the Issuing Lenders and the Swingline Lender in proportion to the respective amounts described in this clause Second payable to them; Third, to payment of that portion of the Obligations constituting accrued and unpaid Facility Fees, Letter of Credit fees payable to the Lenders and interest on the Loans and Reimbursement Obligations, ratably among the Lenders, the Issuing Lenders and the Swingline Lender in proportion to the respective amounts described in this clause Third payable to them;


 
67 Fourth, to payment of that portion of the Obligations constituting unpaid principal of the Loans and Reimbursement Obligations and to Cash Collateralize any L/C Obligations then outstanding, ratably among the holders of such obligations in proportion to the respective amounts described in this clause Fourth payable to them; and Last, the balance, if any, after all of the Obligations have been paid in full, to the Borrower or as otherwise required by Applicable Law. ARTICLE IX THE ADMINISTRATIVE AGENT SECTION 9.1 Appointment and Authority. Each of the Lenders and each Issuing Lender hereby irrevocably appoints, designates and authorizes Wells Fargo to act on its behalf as the Administrative Agent hereunder and under the other Loan Documents and authorizes the Administrative Agent to take such actions on its behalf and to exercise such powers as are delegated to the Administrative Agent by the terms hereof or thereof, together with such actions and powers as are reasonably incidental thereto. Except as provided in Section 9.6, the provisions of this Article are solely for the benefit of the Administrative Agent, the Arrangers, the Lenders, the Issuing Lenders and their respective Related Parties, and neither the Borrower nor any Subsidiary thereof shall have rights as a third-party beneficiary of any of such provisions. It is understood and agreed that the use of the term “agent” herein or in any other Loan Documents (or any other similar term) with reference to the Administrative Agent is not intended to connote any fiduciary or other implied (or express) obligations arising under agency doctrine of any Applicable Law. Instead such term is used as a matter of market custom, and is intended to create or reflect only an administrative relationship between contracting parties. SECTION 9.2 Rights as a Lender. The Person serving as the Administrative Agent hereunder shall have the same rights and powers in its capacity as a Lender as any other Lender and may exercise the same as though it were not the Administrative Agent and the term “Lender” or “Lenders” shall, unless otherwise expressly indicated or unless the context otherwise requires, include the Person serving as the Administrative Agent hereunder in its individual capacity. Such Person and its Affiliates may accept deposits from, lend money to, own securities of, act as the financial advisor or in any other advisory capacity for and generally engage in any kind of banking, trust, financial advisory, underwriting, capital markets or other business with the Borrower or any Subsidiary or other Affiliate thereof as if such Person were not the Administrative Agent hereunder and without any duty to account therefor to the Lenders or to provide notice to or consent of the Lenders with respect thereto. SECTION 9.3 Exculpatory Provisions. (a) The Administrative Agent, the Arrangers and their respective Related Parties shall not have any duties or obligations except those expressly set forth herein and in the other Loan Documents, and its duties hereunder and thereunder shall be administrative in nature. Without limiting the generality of the foregoing, the Administrative Agent, the Arrangers and their respective Related Parties: (i) shall not be subject to any agency, trust, fiduciary or other implied duties, regardless of whether a Default or Event of Default has occurred and is continuing; (ii) shall not have any duty to take any discretionary action or exercise any discretionary powers, except discretionary rights and powers expressly contemplated hereby or by the other Loan Documents that the Administrative Agent is required to exercise as directed in writing by the Required Lenders (or such other number or percentage of the Lenders as shall be


 
68 expressly provided for herein or in the other Loan Documents), provided that the Administrative Agent shall not be required to take any action that, in its opinion or the opinion of its counsel, may expose the Administrative Agent to liability or that is contrary to any Loan Document or Applicable Law, including for the avoidance of doubt any action that may be in violation of the automatic stay under any Debtor Relief Law or that may effect a forfeiture, modification or termination of property of a Defaulting Lender in violation of any Debtor Relief Law; (iii) shall not, have any duty to disclose, and shall not be liable for the failure to disclose to any Lender, any Issuing Lender or any other Person, any credit or other information relating concerning the business, prospects, operations, properties, assets, financial or other condition or creditworthiness of the Borrower or any of its Subsidiaries or Affiliates that is communicated to, obtained by or otherwise in the possession of the Person serving as the Administrative Agent, the Arrangers or their respective Related Parties in any capacity, except for notices, reports and other documents that are required to be furnished by the Administrative Agent to the Lenders pursuant to the express provisions of this Agreement; and (iv) shall not be required to account to any Lender or any Issuing Lender for any sum or profit received by the Administrative Agent for its own account. (b) The Administrative Agent, the Arrangers and their respective Related Parties shall not be liable for any action taken or not taken by it under or in connection with this Agreement or any other Loan Document or the transactions contemplated hereby or thereby (i) with the consent or at the request of the Required Lenders (or such other number or percentage of the Lenders as shall be necessary, or as the Administrative Agent shall believe in good faith shall be necessary, under the circumstances as provided in Section 10.1 and Sections 8.1 and 8.2) or (ii) in the absence of its own gross negligence or willful misconduct as determined by a court of competent jurisdiction by final non-appealable judgment. The Administrative Agent shall be deemed not to have knowledge of any Default or Event of Default unless and until notice describing such Default or Event of Default and indicating that such notice is a “Notice of Default” is given to the Administrative Agent by the Borrower, a Lender or an Issuing Lender. (c) The Administrative Agent, the Arrangers and their respective Related Parties shall not be responsible for or have any duty or obligations to any Lender or Participant or any other Person to ascertain or inquire into (i) any statement, warranty or representation made in or in connection with this Agreement or any other Loan Document, (ii) the contents of any certificate, report or other document delivered hereunder or thereunder or in connection herewith or therewith (including any report provided to it by an Issuing Lender pursuant to Section 3.9), (iii) the performance or observance of any of the covenants, agreements or other terms or conditions set forth herein or therein or the occurrence of any Default or Event of Default, (iv) the validity, enforceability, effectiveness or genuineness of this Agreement, any other Loan Document or any other agreement, instrument or document, (v) the satisfaction of any condition set forth in Article V or elsewhere herein, other than to confirm receipt of items expressly required to be delivered to the Administrative Agent or (vi) the utilization of any Issuing Lender’s L/C Commitment (it being understood and agreed that each Issuing Lender shall monitor compliance with its own L/C Commitment without any further action by the Administrative Agent). SECTION 9.4 Reliance by the Administrative Agent. The Administrative Agent shall be entitled to rely upon, shall be fully protected in relying and shall not incur any liability for relying upon, any notice, request, certificate, consent, communication, statement, instrument, document or other writing (including any electronic message, Internet or intranet website posting or other distribution) believed by it to be genuine and to have been signed, sent or otherwise authenticated by the proper Person, including any certification pursuant to Section 9.9. The Administrative Agent also may rely upon any statement made to it orally or by telephone and believed by it to have been made by the proper Person, and shall be fully


 
69 protected in relying and shall not incur any liability for relying thereon. In determining compliance with any condition hereunder to the making of a Loan, or the issuance, extension, renewal or increase of a Letter of Credit, that by its terms must be fulfilled to the satisfaction of a Lender or an Issuing Lender, the Administrative Agent may presume that such condition is satisfactory to such Lender or such Issuing Lender unless the Administrative Agent shall have received notice to the contrary from such Lender or such Issuing Lender prior to the making of such Loan or the issuance of such Letter of Credit. The Administrative Agent may consult with legal counsel (who may be counsel for the Borrower), independent accountants and other experts selected by it, and shall not be liable for any action taken or not taken by it in accordance with the advice of any such counsel, accountants or experts. Each Lender or Issuing Lender that has signed this Agreement or a signature page to an Assignment and Assumption or any other Loan Document pursuant to which it is to become a Lender or Issuing Lender hereunder shall be deemed to have consented to, approved and accepted and shall deemed satisfied with each document or other matter required thereunder to be consented to, approved or accepted by such Lender or Issuing Lender or that is to be acceptable or satisfactory to such Lender or Issuing Lender. SECTION 9.5 Delegation of Duties. The Administrative Agent may perform any and all of its duties and exercise its rights and powers hereunder or under any other Loan Document by or through any one or more sub-agents appointed by the Administrative Agent. The Administrative Agent and any such sub-agent may perform any and all of its duties and exercise its rights and powers by or through their respective Related Parties. The exculpatory provisions of this Article shall apply to any such sub-agent and to the Related Parties of the Administrative Agent and any such sub-agent, and shall apply to their respective activities in connection with the syndication of the Credit Facility as well as activities as Administrative Agent. The Administrative Agent shall not be responsible for the negligence or misconduct of any sub- agents except to the extent that a court of competent jurisdiction determines in a final and non-appealable judgment that the Administrative Agent acted with gross negligence or willful misconduct in the selection of such sub-agents. SECTION 9.6 Resignation of Administrative Agent. (a) The Administrative Agent may at any time give notice of its resignation to the Lenders, the Issuing Lenders and the Borrower. Upon receipt of any such notice of resignation, the Required Lenders shall have the right, with the consent of the Borrower (unless a Default or Event of Default shall have occurred and be continuing, in which case the Borrower shall have no consent right), to appoint a successor, which shall be a bank or financial institution reasonably experienced in serving as administrative agent on syndicated bank facilities with an office in the United States, or an Affiliate of any such bank or financial institution with an office in the United States. If no such successor shall have been so appointed by the Required Lenders and shall have accepted such appointment within 30 days after the retiring Administrative Agent gives notice of its resignation (or such earlier day as shall be agreed by the Required Lenders) (the “Resignation Effective Date”), then the retiring Administrative Agent may (but shall not be obligated to), on behalf of the Lenders and the Issuing Lenders, appoint a successor Administrative Agent meeting the qualifications set forth above. Whether or not a successor has been appointed, such resignation shall become effective in accordance with such notice on the Resignation Effective Date. (b) If the Person serving as Administrative Agent is a Defaulting Lender pursuant to clause (d) of the definition thereof, the Required Lenders may, to the extent permitted by Applicable Law, by notice in writing to the Borrower and such Person, remove such Person as Administrative Agent and, in consultation with the Borrower, appoint a successor. If no such successor shall have been so appointed by the Required Lenders and shall have accepted such appointment within 30 days (or such earlier day as shall be agreed by the Required Lenders) (the “Removal Effective Date”), then such removal shall nonetheless become effective in accordance with such notice on the Removal Effective Date.


 
70 (c) With effect from the Resignation Effective Date or the Removal Effective Date (as applicable), (i) the retiring or removed Administrative Agent shall be discharged from its duties and obligations hereunder and under the other Loan Documents (except that in the case of any collateral security held by the Administrative Agent on behalf of the Lenders or the Issuing Lenders under any of the Loan Documents, the retiring or removed Administrative Agent shall continue to hold such collateral security until such time as a successor Administrative Agent is appointed) and (ii) except for any indemnity payments or other amounts then owed to the retiring or removed Administrative Agent, all payments, communications and determinations provided to be made by, to or through the Administrative Agent shall instead be made by or to each Lender and each Issuing Lender directly, until such time, if any, as the Required Lenders appoint a successor Administrative Agent as provided for above. Upon the acceptance of a successor’s appointment as Administrative Agent hereunder, such successor shall succeed to and become vested with all of the rights, powers, privileges and duties of the retiring or removed Administrative Agent (other than any rights to indemnity payments or other amounts owed to the retiring or removed Administrative Agent as of the Resignation Effective Date or the Removal Effective Date, as applicable), and the retiring or removed Administrative Agent shall be discharged from all of its duties and obligations hereunder or under the other Loan Documents. The fees payable by the Borrower to a successor Administrative Agent shall be the same as those payable to its predecessor unless otherwise agreed between the Borrower and such successor. After the retiring or removed Administrative Agent’s resignation or removal hereunder and under the other Loan Documents, the provisions of this Article and Section 10.4 shall continue in effect for the benefit of such retiring or removed Administrative Agent, its sub-agents and their respective Related Parties in respect of any actions taken or omitted to be taken by any of them while the retiring or removed Administrative Agent was acting as Administrative Agent or relating to its duties as Administrative Agent that are carried out following its retirement or removal, including, without limitation, in respect of any actions taken in connection with the transfer of agency to a replacement or successor Administrative Agent. (d) Any resignation by, or removal of, Wells Fargo as Administrative Agent pursuant to this Section shall also constitute its resignation as an Issuing Lender and Swingline Lender. Upon the acceptance of a successor’s appointment as Administrative Agent hereunder, (i) such successor shall succeed to and become vested with all of the rights, powers, privileges and duties of the retiring Issuing Lender, if in its sole discretion it elects to, and Swingline Lender, (ii) the retiring Issuing Lender and Swingline Lender shall be discharged from all of their respective duties and obligations hereunder or under the other Loan Documents, and (iii) the successor Issuing Lender, if in its sole discretion it elects to, shall issue letters of credit in substitution for the Letters of Credit, if any, outstanding at the time of such succession or make other arrangements satisfactory to the retiring Issuing Lender to effectively assume the obligations of the retiring Issuing Lender with respect to such Letters of Credit. SECTION 9.7 Non-Reliance on Administrative Agent and Other Lenders. Each Lender and each Issuing Lender expressly acknowledges that none of the Administrative Agent, any Arranger or any of their respective Related Parties has made any representations or warranties to it and that no act taken or failure to act by the Administrative Agent, any Arranger or any of their respective Related Parties, including any consent to, and acceptance of any assignment or review of the affairs of the Borrower and its Subsidiaries or Affiliates shall be deemed to constitute a representation or warranty of the Administrative Agent, any Arranger or any of their respective Related Parties to any Lender or any Issuing Lender as to any matter, including whether the Administrative Agent, any Arranger or any of their respective Related Parties have disclosed material information in their (or their respective Related Parties’) possession. Each Lender and each Issuing Lender expressly acknowledges, represents and warrants to the Administrative Agent and each Arranger that (a) the Loan Documents set forth the terms of a commercial lending facility, (b) it is engaged in making, acquiring, purchasing or holding commercial loans in the ordinary course and is entering into this Agreement and the other Loan Documents to which it is a party as a Lender for the purpose of making, acquiring, purchasing and/or holding the commercial loans set forth herein as may be


 
71 applicable to it, and not for the purpose of making, acquiring, purchasing or holding any other type of financial instrument, (c) it is sophisticated with respect to decisions to make, acquire, purchase or hold the commercial loans applicable to it and either it or the Person exercising discretion in making its decisions to make, acquire, purchase or hold such commercial loans is experienced in making, acquiring, purchasing or holding commercial loans, (d) it has, independently and without reliance upon the Administrative Agent, any Arranger, any other Lender or any of their respective Related Parties and based on such documents and information as it has deemed appropriate, made its own credit analysis and appraisal of, and investigations into, the business, prospects, operations, property, assets, liabilities, financial and other condition and creditworthiness of the Borrower and its Subsidiaries, all applicable bank or other regulatory Applicable Laws relating to the transactions contemplated by this Agreement and the other Loan Documents and (e) it has made its own independent decision to enter into this Agreement and the other Loan Documents to which it is a party and to extend credit hereunder and thereunder. Each Lender and each Issuing Lender also acknowledges that (i) it will, independently and without reliance upon the Administrative Agent, any Arranger or any other Lender or any of their respective Related Parties (A) continue to make its own credit analysis, appraisals and decisions in taking or not taking action under or based upon this Agreement, any other Loan Document or any related agreement or any document furnished hereunder or thereunder based on such documents and information as it shall from time to time deem appropriate and its own independent investigations and (B) continue to make such investigations and inquiries as it deems necessary to inform itself as to the Borrower and its Subsidiaries and (ii) it will not assert any claim in contravention of this Section 9.7. SECTION 9.8 No Other Duties, Etc. Anything herein to the contrary notwithstanding, none of the syndication agents, documentation agents, co-agents, arrangers or bookrunners listed on the cover page hereof shall have any powers, duties or responsibilities under this Agreement or any of the other Loan Documents, except in its capacity, as applicable, as the Administrative Agent, a Lender or an Issuing Lender hereunder, but each such Person shall have the benefit of the indemnities and exculpatory provisions hereof. SECTION 9.9 Administrative Agent May File Proofs of Claim. In case of the pendency of any proceeding under any Debtor Relief Law or any other judicial proceeding relative to the Borrower, the Administrative Agent (irrespective of whether the principal of any Loan or L/C Obligation shall then be due and payable as herein expressed or by declaration or otherwise and irrespective of whether the Administrative Agent shall have made any demand on the Borrower) shall be entitled and empowered (but not obligated) by intervention in such proceeding or otherwise: (a) to file and prove a claim for the whole amount of the principal and interest owing and unpaid in respect of the Loans, L/C Obligations and all other Obligations that are owing and unpaid and to file such other documents as may be necessary or advisable in order to have the claims of the Lenders, the Issuing Lenders and the Administrative Agent (including any claim for the reasonable compensation, expenses, disbursements and advances of the Lenders, the Issuing Lenders and the Administrative Agent and their respective agents and counsel and all other amounts due the Lenders, the Issuing Lenders and the Administrative Agent under Sections 3.3, 4.3 and 10.4) allowed in such judicial proceeding; and (b) to collect and receive any monies or other property payable or deliverable on any such claims and to distribute the same; and any custodian, receiver, assignee, trustee, liquidator, sequestrator or other similar official in any such judicial proceeding is hereby authorized by each Lender and each Issuing Lender to make such payments to the Administrative Agent and, in the event that the Administrative Agent shall consent to the making of such payments directly to the Lenders and the Issuing Lenders, to pay to the Administrative Agent any amount due for the reasonable compensation, expenses, disbursements and advances of the Administrative


 
72 Agent and its agents and counsel, and any other amounts due the Administrative Agent under Sections 3.3, 4.3 and 10.4. SECTION 9.10 Certain ERISA Matters. (a) Each Lender (x) represents and warrants, as of the date such Person became a Lender party hereto, to, and (y) covenants, from the date such Person became a Lender party hereto to the date such Person ceases being a Lender party hereto, for the benefit of, the Administrative Agent, each Arranger and their respective Affiliates, and not, for the avoidance of doubt, to or for the benefit of the Borrower, that at least one of the following is and will be true: (i) such Lender is not using “plan assets” (within the meaning of Section 3(42) of ERISA or otherwise for purposes of Title I of ERISA or Section 4975 of the Code) of one or more Benefit Plans with respect to such Lender’s entrance into, participation in, administration of and performance of the Loans, the Letters of Credit or the Commitments or this Agreement; (ii) the prohibited transaction exemption set forth in one or more PTEs, such as PTE 84-14 (a class exemption for certain transactions determined by independent qualified professional asset managers), PTE 95-60 (a class exemption for certain transactions involving insurance company general accounts), PTE 90-1 (a class exemption for certain transactions involving insurance company pooled separate accounts), PTE 91-38 (a class exemption for certain transactions involving bank collective investment funds) or PTE 96-23 (a class exemption for certain transactions determined by in-house asset managers), is applicable so as to exempt from the prohibitions of Section 406 of ERISA and Section 4975 of the Code such Lender’s entrance into, participation in, administration of and performance of the Loans, the Letters of Credit, the Commitments and this Agreement; (iii) (A) such Lender is an investment fund managed by a “Qualified Professional Asset Manager” (within the meaning of Part VI of PTE 84-14), (B) such Qualified Professional Asset Manager made the investment decision on behalf of such Lender to enter into, participate in, administer and perform the Loans, the Letters of Credit, the Commitments and this Agreement, (C) the entrance into, participation in, administration of and performance of the Loans, the Letters of Credit, the Commitments and this Agreement satisfies the requirements of sub-sections (b) through (g) of Part I of PTE 84-14 and (D) to the best knowledge of such Lender, the requirements of subsection (a) of Part I of PTE 84-14 are satisfied with respect to such Lender’s entrance into, participation in, administration of and performance of the Loans, the Letters of Credit, the Commitments and this Agreement; or (iv) such other representation, warranty and covenant as may be agreed in writing between the Administrative Agent, in its sole discretion, and such Lender, and communicated to the Borrower in a timely manner. (b) In addition, unless either (1) sub-clause (i) in the immediately preceding clause (a) is true with respect to a Lender or (2) a Lender has provided another representation, warranty and covenant in accordance with sub-clause (iv) in the immediately preceding clause (a), such Lender further (x) represents and warrants, as of the date such Person became a Lender party hereto, and (y) covenants, from the date such Person became a Lender party hereto to the date such Person ceases being a Lender party hereto, for the benefit of, the Administrative Agent, each Arranger and their respective Affiliates, and not, for the avoidance of doubt, to or for the benefit of the Borrower, that none of the Administrative Agent, any Arranger and their respective Affiliates is a fiduciary with respect to the assets of such Lender involved in such Lender’s entrance into, participation in, administration of and performance of the Loans, the Letters


 
73 of Credit, the Commitments and this Agreement (including in connection with the reservation or exercise of any rights by the Administrative Agent under this Agreement, any Loan Document or any documents related hereto or thereto). SECTION 9.11 Erroneous Payments. (a) Each Lender, each Issuing Lender and any other party hereto hereby severally agrees that if (i) the Administrative Agent notifies (which such notice shall be conclusive absent manifest error) such Lender or Issuing Lender or any other Person that has received funds from the Administrative Agent or any of its Affiliates, either for its own account or on behalf of a Lender or an Issuing Lender (each such recipient, a “Payment Recipient”) that the Administrative Agent has determined in its sole discretion that any funds received by such Payment Recipient were erroneously transmitted to, or otherwise erroneously or mistakenly received by, such Payment Recipient (whether or not known to such Payment Recipient) or (ii) any Payment Recipient receives any payment from the Administrative Agent (or any of its Affiliates) (x) that is in a different amount than, or on a different date from, that specified in a notice of payment, prepayment or repayment sent by the Administrative Agent (or any of its Affiliates) with respect to such payment, prepayment or repayment, as applicable, (y) that was not preceded or accompanied by a notice of payment, prepayment or repayment sent by the Administrative Agent (or any of its Affiliates) with respect to such payment, prepayment or repayment, as applicable, or (z) that such Payment Recipient otherwise becomes aware was transmitted or received in error or by mistake (in whole or in part) then, in each case, an error in payment shall be presumed to have been made (any such amounts specified in clauses (i) or (ii) of this Section 9.11(a), whether received as a payment, prepayment or repayment of principal, interest, fees, distribution or otherwise; individually and collectively, an “Erroneous Payment”), then, in each case, such Payment Recipient is deemed to have knowledge of such error at the time of its receipt of such Erroneous Payment; provided that nothing in this Section shall require the Administrative Agent to provide any of the notices specified in clauses (i) or (ii) above. Each Payment Recipient agrees that it shall not assert any right or claim to any Erroneous Payment, and hereby waives any claim, counterclaim, defense or right of set-off or recoupment with respect to any demand, claim or counterclaim by the Administrative Agent for the return of any Erroneous Payments, including without limitation waiver of any defense based on “discharge for value” or any similar doctrine. (b) Without limiting the immediately preceding clause (a), each Payment Recipient agrees that, in the case of clause (a)(ii) above, it shall promptly notify the Administrative Agent in writing of such occurrence. (c) In the case of either clause (a)(i) or (a)(ii) above, such Erroneous Payment shall at all times remain the property of the Administrative Agent and shall be segregated by the Payment Recipient and held in trust for the benefit of the Administrative Agent, and upon demand from the Administrative Agent such Payment Recipient shall (or, shall cause any Person who received any portion of an Erroneous Payment on its behalf to), promptly, but in all events no later than one Business Day thereafter, return to the Administrative Agent the amount of any such Erroneous Payment (or portion thereof) as to which such a demand was made in same day funds and in the currency so received, together with interest thereon in respect of each day from and including the date such Erroneous Payment (or portion thereof) was received by such Payment Recipient to the date such amount is repaid to the Administrative Agent at the greater of the Federal Funds Rate and a rate determined by the Administrative Agent in accordance with banking industry rules on interbank compensation from time to time in effect. (d) In the event that an Erroneous Payment (or portion thereof) is not recovered by the Administrative Agent for any reason, after demand therefor by the Administrative Agent in accordance with immediately preceding clause (c), from any Lender that is a Payment Recipient or an Affiliate of a Payment Recipient (such unrecovered amount as to such Lender, an “Erroneous Payment Return


 
74 Deficiency”), then at the sole discretion of the Administrative Agent and upon the Administrative Agent’s written notice to such Lender (i) such Lender shall be deemed to have made a cashless assignment of the full face amount of the portion of its Loans (but not its Commitments) to the Administrative Agent or, at the option of the Administrative Agent, the Administrative Agent’s applicable lending affiliate in an amount that is equal to the Erroneous Payment Return Deficiency (or such lesser amount as the Administrative Agent may specify) (such assignment of the Loans (but not Commitments), the “Erroneous Payment Deficiency Assignment”) plus any accrued and unpaid interest on such assigned amount, without further consent or approval of any party hereto and without any payment by the Administrative Agent or its applicable lending affiliate as the assignee of such Erroneous Payment Deficiency Assignment. Without limitation of its rights hereunder, the Administrative Agent may cancel any Erroneous Payment Deficiency Assignment at any time by written notice to the applicable assigning Lender and upon such revocation all of the Loans assigned pursuant to such Erroneous Payment Deficiency Assignment shall be reassigned to such Lender without any requirement for payment or other consideration. The parties hereto acknowledge and agree that (1) any assignment contemplated in this clause (d) shall be made without any requirement for any payment or other consideration paid by the applicable assignee or received by the assignor, (2) the provisions of this clause (d) shall govern in the event of any conflict with the terms and conditions of Section 10.6 and (3) the Administrative Agent may reflect such assignments in the Register without further consent or action by any other Person. (e) Each party hereto hereby agrees that (x) in the event an Erroneous Payment (or portion thereof) is not recovered from any Payment Recipient that has received such Erroneous Payment (or portion thereof) for any reason, the Administrative Agent (1) shall be subrogated to all the rights of such Payment Recipient with respect to such amount and (2) is authorized to set off, net and apply any and all amounts at any time owing to such Payment Recipient under any Loan Document, or otherwise payable or distributable by the Administrative Agent to such Payment Recipient from any source, against any amount due to the Administrative Agent under this Section 9.11 or under the indemnification provisions of this Agreement, (y) the receipt of an Erroneous Payment by a Payment Recipient shall not for the purpose of this Agreement be treated as a payment, prepayment, repayment, discharge or other satisfaction of any Obligations owed by the Borrower, except, in each case, to the extent such Erroneous Payment is, and solely with respect to the amount of such Erroneous Payment that is, comprised of funds received by the Administrative Agent from the Borrower for the purpose of making a payment on the Obligations and (z) to the extent that an Erroneous Payment was in any way or at any time credited as payment or satisfaction of any of the Obligations, the Obligations or any part thereof that were so credited, and all rights of the Payment Recipient, as the case may be, shall be reinstated and continue in full force and effect as if such payment or satisfaction had never been received. (f) Each party’s obligations under this Section 9.11 shall survive the resignation or replacement of the Administrative Agent or any transfer of right or obligations by, or the replacement of, a Lender, the termination of the Commitments or the repayment, satisfaction or discharge of all Obligations (or any portion thereof) under any Loan Document. (g) Nothing in this Section 9.11 will constitute a waiver or release of any claim of any party hereunder arising from any Payment Recipient’s receipt of an Erroneous Payment. ARTICLE X MISCELLANEOUS SECTION 10.1 Amendments, Etc. Except as set forth below or as specifically provided in any Loan Document (including Section 4.8(c)), any term, covenant, agreement or condition of this Agreement or any of the other Loan Documents may be amended or waived by the Lenders, and any consent given by


 
75 the Lenders, if, but only if, such amendment, waiver or consent is in writing and approved by the Required Lenders (or by the Administrative Agent with the consent of the Required Lenders) and delivered to the Administrative Agent and, in the case of an amendment, signed by the Borrower; provided, that no amendment, waiver or consent shall: (a) increase or extend the Commitment of any Lender (or reinstate any Commitment terminated pursuant to Section 8.1) or increase the amount of Loans of any Lender, in any case, without the written consent of such Lender; (b) waive, extend or postpone any date fixed by this Agreement or any other Loan Document for any payment of principal, interest, fees or other amounts due to the Lenders (or any of them) hereunder or under any other Loan Document without the written consent of each Lender directly and adversely affected thereby; (c) reduce the principal of, or the rate of interest specified herein on, any Loan or Reimbursement Obligation, or (subject to clauses (iv) and (vii) of the proviso set forth in the paragraph below) any fees or other amounts payable hereunder or under any other Loan Document without the written consent of each Lender directly and adversely affected thereby; provided that (i) only the consent of the Required Lenders shall be necessary to waive any obligation of the Borrower to pay interest at the rate set forth in Section 4.1(b) during the continuance of an Event of Default and (ii) only the consent of the Required Lenders shall be necessary to amend any financial covenant hereunder (or any defined term used therein) even if the effect of such amendment would be to reduce the rate of interest on any Loan or L/C Obligation or to reduce any fee payable hereunder; (d) change Section 4.6 or Section 8.4 (or amend any other term of the Loan Documents that would have the effect of changing Section 4.6 or Section 8.4) in a manner that would alter the pro rata sharing of payments or order of application required thereby without the written consent of each Lender directly and adversely affected thereby; (e) change any provision of this Section or reduce the percentages specified in the definitions of “Required Lenders” or any other provision hereof specifying the number or percentage of Lenders required to amend, waive or otherwise modify any rights hereunder or make any determination or grant any consent hereunder, without the written consent of each Lender directly and adversely affected thereby; (f) consent to the assignment or transfer by the Borrower of the Borrower’s rights and obligations under any Loan Document to which it is a party, in each case, without the written consent of each Lender; provided further, that (i) no amendment, waiver or consent shall, unless in writing and signed by each affected Issuing Lender in addition to the Lenders required above, affect the rights or duties of such Issuing Lender under this Agreement (including Section 9.9(c)) or any Letter of Credit Documents relating to any Letter of Credit issued or to be issued by it; (ii) no amendment, waiver or consent shall, unless in writing and signed by the Swingline Lender in addition to the Lenders required above, affect the rights or duties of the Swingline Lender under this Agreement; (iii) no amendment, waiver or consent shall, unless in writing and signed by the Administrative Agent in addition to the Lenders required above, affect the rights or duties of the Administrative Agent under this Agreement or any other Loan Document or modify Section 10.1(e), Section 10.13 or Article IX hereof; (iv) each Fee Letter may be amended, or rights or privileges thereunder waived, in a writing executed only by the parties thereto, (v) each Letter of Credit Document may be amended, or rights or privileges thereunder waived, in a writing executed only by the parties thereto; provided that a copy of such amended Letter of Credit Document shall be promptly delivered to the Administrative Agent upon such amendment or waiver, (vi) the Administrative Agent and the Borrower


 
76 shall be permitted to amend any provision of the Loan Documents (and such amendment shall become effective without any further action or consent of any other party to any Loan Document) if the Administrative Agent and the Borrower shall have jointly identified an obvious error or any error, ambiguity, defect or inconsistency or omission of a technical or immaterial nature in any such provision and (vii) the Administrative Agent (and, if applicable, the Borrower) may, without the consent of any Lender, enter into amendments or modifications to this Agreement or any of the other Loan Documents or to enter into additional Loan Documents in order to implement any Benchmark Replacement or any Conforming Changes or otherwise effectuate the terms of Section 4.8(c) in accordance with the terms of Section 4.8(c). Notwithstanding anything to the contrary herein, (x) no Defaulting Lender shall have any right to approve or disapprove any amendment, waiver or consent hereunder, except that (A) the Commitment of such Lender may not be increased or extended without the consent of such Lender, and (B) any amendment, waiver, or consent hereunder which requires the consent of all Lenders or each affected Lender that by its terms disproportionately and adversely affects any such Defaulting Lender relative to other affected Lenders shall require the consent of such Defaulting Lender and (y) this Agreement and any other Loan Document may be amended (or amended and restated) with the written consent of the Required Lenders, the Administrative Agent and the Borrower (x) to add one or more credit facilities to this Agreement and to permit extensions of credit from time to time outstanding thereunder and the accrued interest and fees in respect thereof to share ratably in the benefits of this Agreement and the other Loan Documents with the Loans and the accrued interest and fees in respect thereof and (y) to include appropriately the Lenders holding such credit facilities in any determination of the Required Lenders and Lenders. Notwithstanding anything in this Agreement to the contrary, each Lender hereby irrevocably authorizes the Administrative Agent on its behalf, and without further consent of any Lender (but with the consent of the Borrower and the Administrative Agent), to (x) amend and restate this Agreement and the other Loan Documents if, upon giving effect to such amendment and restatement, such Lender shall no longer be a party to this Agreement (as so amended and restated), the Commitments of such Lender shall have terminated, such Lender shall have no other commitment or other obligation hereunder and shall have been paid in full all principal, interest and other amounts owing to it or accrued for its account under this Agreement and the other Loan Documents and (y) enter into amendments or modifications to this Agreement (including amendments to this Section 10.1) or any of the other Loan Documents or to enter into additional Loan Documents as the Administrative Agent reasonably deems appropriate in order to effectuate the terms of Section 4.13; provided that no amendment or modification shall result in any increase in the amount of any Lender’s Commitment or any increase in any Lender’s Commitment Percentage, in each case, without the written consent of such affected Lender. SECTION 10.2 Notices, Etc. (a) Notices Generally. Except in the case of notices and other communications expressly permitted to be given by telephone (and except as provided in paragraph (b) below), all notices and other communications provided for herein shall be in writing and shall be delivered by hand or overnight courier service, mailed by certified or registered mail or sent by facsimile as follows: If to the Borrower: Coca-Cola Consolidated, Inc. 4100 Coca-Cola Plaza Charlotte, NC 28211


 
77 Attention of: Executive Vice President & Chief Financial Officer Telephone No.: (704) 557-4400 E-mail: scott.anthony@cokeconsolidated.com If to Wells Fargo, as Administrative Agent: Wells Fargo Bank, National Association MAC D1109-019 1525 West W.T. Harris Blvd. Charlotte, NC 28262 Attention of: Syndication Agency Services Telephone No.: (704) 590-2706 Facsimile No.: (844) 879-5899 E-mail: Agencyservices.requests@wellsfargo.com With copies to: Wells Fargo Bank, National Association 550 S Tryon Street, 7th floor Charlotte, NC 28202 Attention of: Michael J. Stein Telephone No.: 704-410-0601 E-mail: michael.stein@wellsfargo.com If to any Lender: To the address of such Lender set forth on the Register with respect to deliveries of notices and other documentation that may contain material non-public information. Notices sent by hand or overnight courier service, or mailed by certified or registered mail, shall be deemed to have been given when received; notices sent by facsimile shall be deemed to have been given when sent (except that, if not given during normal business hours for the recipient, shall be deemed to have been given at the opening of business on the next Business Day for the recipient). Notices delivered through electronic communications to the extent provided in paragraph (b) below, shall be effective as provided in said paragraph (b). (b) Electronic Communications. Notices and other communications to the Lenders and the Issuing Lenders hereunder may be delivered or furnished by electronic communication (including e-mail and Internet or intranet websites) pursuant to procedures approved by the Administrative Agent, provided that the foregoing shall not apply to notices to any Lender or any Issuing Lender pursuant to Article II or III if such Lender or such Issuing Lender, as applicable, has notified the Administrative Agent that is incapable of receiving notices under such Article by electronic communication. The Administrative Agent or the Borrower may, in its discretion, agree to accept notices and other communications to it hereunder by electronic communications pursuant to procedures approved by it, provided that approval of such procedures may be limited to particular notices or communications. Unless the Administrative Agent otherwise prescribes, (i) notices and other communications sent to an e-mail address shall be deemed received upon the sender’s receipt of an acknowledgement from the intended recipient (such as by the “return receipt requested” function, as available, return e-mail or other written acknowledgement), and (ii) notices or communications posted to an Internet or intranet website shall be deemed received upon the deemed receipt by the intended recipient at its e-mail address as described in the foregoing clause (i) of


 
78 notification that such notice or communication is available and identifying the website address therefor; provided that, for both clauses (i) and (ii) above, if such notice, email or other communication is not sent during the normal business hours of the recipient, such notice, email or other communication shall be deemed to have been sent at the opening of business on the next Business Day for the recipient. (c) Administrative Agent’s Office. The Administrative Agent hereby designates its office located at the address set forth above, or any subsequent office which shall have been specified for such purpose by written notice to the Borrower and Lenders, as the Administrative Agent’s Office referred to herein, to which payments due are to be made and at which Loans will be disbursed and Letters of Credit requested. (d) Change of Address, Etc. Each of the Borrower, the Administrative Agent, any Issuing Lender or the Swingline Lender may change its address or other contact information for notices and other communications hereunder by notice to the other parties hereto. Any Lender may change its address or facsimile number for notices and other communications hereunder by notice to the Borrower, the Administrative Agent, each Issuing Lender and the Swingline Lender. (e) Platform. (i) The Borrower, each Lender and each Issuing Lender agrees that the Administrative Agent may, but shall not be obligated to, make the Borrower Materials available to the Issuing Lenders and the other Lenders by posting the Borrower Materials on the Platform. (ii) The Platform is provided “as is” and “as available.” The Agent Parties (as defined below) do not warrant the accuracy or completeness of the Borrower Materials or the adequacy of the Platform, and expressly disclaim liability for errors or omissions in the Borrower Materials. No warranty of any kind, express, implied or statutory, including any warranty of merchantability, fitness for a particular purpose, non-infringement of third-party rights or freedom from viruses or other code defects, is made by any Agent Party in connection with the Borrower Materials or the Platform. Although the Platform is secured pursuant to generally-applicable security procedures and policies implemented or modified by the Administrative Agent and its Related Parties, each of the Lenders, the Issuing Lenders and the Borrower acknowledges and agrees that distribution of information through an electronic means is not necessarily secure in all respects, the Administrative Agent or any of its Related Parties (collectively, the “Agent Parties”) are not responsible for approving or vetting the representatives, designees or contacts of any Lender or Issuing Lender that are provided access to the Platform and that there may be confidentiality and other risks associated with such form of distribution. Each of the Borrower, each Lender and each Issuing Lender party hereto understands and accepts such risks. In no event shall the Agent Parties have any liability to the Borrower, any Lender or any other Person or entity for losses, claims, damages, liabilities or expenses of any kind (whether in tort, contract or otherwise) arising out of the Borrower’s or the Administrative Agent’s transmission of communications through the Internet (including the Platform), except to the extent that such losses, claims, damages, liabilities or expenses are determined by a court of competent jurisdiction by final and non-appealable judgment to have resulted from the gross negligence or willful misconduct of such Agent Party; provided that in no event shall any Agent Party have any liability to the Borrower, any Lender, any Issuing Lender or any other Person for indirect, special, incidental, consequential or punitive damages, losses or expenses (as opposed to actual damages, losses or expenses). (f) Private Side Designation. Each Public Lender agrees to cause at least one individual at or on behalf of such Public Lender to at all times have selected the “Private Side Information” or similar designation on the content declaration screen of the Platform in order to enable such Public Lender or its


 
79 delegate, in accordance with such Public Lender’s compliance procedures and Applicable Law, including United States federal and state securities Applicable Laws, to make reference to Borrower Materials that are not made available through the “Public Side Information” portion of the Platform and that may contain material non-public information with respect to the Borrower or its securities for purposes of United States federal or state securities Applicable Laws. SECTION 10.3 No Waiver; Remedies. No failure on the part of any Lender or the Administrative Agent to exercise, and no delay in exercising, and no course of dealing with respect to, any right hereunder shall operate as a waiver thereof; nor shall any single or partial exercise of any such right preclude any other or further exercise thereof or the exercise of any other right. The remedies herein provided are cumulative and not exclusive of any remedies provided by law. SECTION 10.4 Costs, Expenses and Indemnification. (a) The Borrower agrees to pay and reimburse on demand (i) all reasonable costs and expenses of the Administrative Agent and each Arranger in connection with the preparation, execution, delivery, administration, modification and amendment of this Agreement and the other documents to be delivered hereunder, including, without limitation, the reasonable and documented fees and out-of-pocket expenses of counsel, but limited to the reasonable and documented fees and out-of-pocket expenses of counsel for the Administrative Agent with respect thereto and with respect to advising the Administrative Agent as to its rights and responsibilities under this Agreement, (ii) all costs and expenses incurred by any Issuing Lender in connection with the issuance, amendment, renewal or extension of any Letter of Credit or any demand for payment thereunder, and (iii) all costs and expenses, if any (including the reasonable and documented fees and out-of-pocket expenses of one counsel to the Administrative Agent, each Issuing Lender and each of the Lenders taken as a whole, and, if reasonably necessary, a single specialty or local counsel to the Administrative Agent, each Issuing Lender and each of the Lenders taken as a whole; provided that in the case of an actual or perceived conflict of interest with respect to any of the foregoing counsel, one additional counsel to all affected Lenders similarly situated and taken as a whole), incurred by the Administrative Agent, any Issuing Lender or any Lender in connection with the enforcement (whether through negotiations, legal proceedings or otherwise) of this Agreement and the other documents to be delivered hereunder, including, without limitation, reasonable counsel fees and expenses in connection with the enforcement of rights under this Section 10.4(a). Such reasonable fees and out-of-pocket expenses shall be reimbursed by the Borrower upon presentation to the Borrower of a statement of account, regardless of whether this Agreement is executed and delivered by the parties hereto or the transactions contemplated by this Agreement are consummated. (b) The Borrower hereby agrees to indemnify the Administrative Agent, each Arranger, each Issuing Lender, each Lender and each of their respective Affiliates and their respective officers, directors, employees, agents, advisors and representatives (each, an “Indemnified Party”) from and against any and all direct claims, damages, losses, liabilities and expenses (including, without limitation, reasonable fees and disbursements of counsel), joint or several, that may be incurred by or asserted or awarded against any Indemnified Party, in each case arising out of or in connection with or relating to any investigation, litigation or proceeding or the preparation of any defense with respect thereto arising out of or in connection with or relating to this Agreement or the transactions contemplated hereby or thereby or any use made or proposed to be made with the proceeds of the Loans or the Letters of Credit (including any refusal by an Issuing Lender to honor a demand for payment under a Letter of Credit if the documents presented in connection with such demand do not strictly comply with the terms of such Letter of Credit), whether or not such investigation, litigation or proceeding is brought by the Borrower, any of its shareholders or creditors, an Indemnified Party or any other Person, or an Indemnified Party is otherwise a party thereto, and whether or not any of the conditions precedent set forth in Article V are satisfied or the other transactions contemplated by this Agreement are consummated, except to the extent such direct


 
80 claim, damage, loss, liability or expense (x) is found in a final, non-appealable judgment by a court of competent jurisdiction to have resulted from such Indemnified Party’s gross negligence or willful misconduct, (y) results from a claim brought by the Borrower against an Indemnified Party for breach in bad faith, or a material breach, of such Indemnified Party’s express obligations hereunder or (z) arises out of, or result from, any investigation, litigation or proceeding that does not involve an act or omission by the Borrower or any of the Borrower’s Affiliates and that is brought by an Indemnified Party against any other Indemnified Party (other than in its capacity as the Administrative Agent, an Issuing Lender, an Arranger, a Co-Syndication Agent, a Co-Documentation Agent or any other similar role with respect to the Credit Facility). This Section 10.4(b) shall not apply with respect to Taxes other than any Taxes that represent claims, damages, losses, etc. arising from any non-Tax claim. (c) The Borrower hereby further agrees that (i) no Indemnified Party shall have any liability to the Borrower for or in connection with or relating to this Agreement or the transactions contemplated hereby or thereby or any use made or proposed to be made with the proceeds of the Loans, except to the extent such liability is found in a final, non-appealable judgment by a court of competent jurisdiction to have resulted from such Indemnified Party’s gross negligence or willful misconduct and (ii) the Borrower will not assert any claim against the Administrative Agent or any Lender, any of their respective Affiliates, or any of their respective directors, officers, employees, attorneys or agents, on any theory of liability, for consequential, indirect, special or punitive damages arising out of or relating to this Agreement or the actual or proposed use of any Loans. (d) The Borrower hereby indemnifies each of the Lenders against any loss, cost or expense (including any loss, cost or expense arising from the liquidation or reemployment of funds or from any fees payable) which may arise, be attributable to or result due to or as a consequence of (i) any failure by the Borrower to make any payment when due of any amount due hereunder in connection with a SOFR Loan, (ii) any failure of the Borrower to borrow or continue a SOFR Loan or convert to a SOFR Loan on a date specified therefor in a Notice of Borrowing or Notice of Conversion/Continuation, (iii) any failure of the Borrower to prepay any SOFR Loan on a date specified therefor in any Notice of Prepayment, (iv) any payment, prepayment or conversion of any SOFR Loan on a date other than the last day of the Interest Period therefor (including as a result of an Event of Default) or (v) the assignment of any SOFR Loan other than on the last day of the Interest Period applicable thereto as a result of a request by the Borrower pursuant to Section 4.12(b). A certificate of such Lender setting forth the basis for determining such amount or amounts necessary to compensate such Lender shall be forwarded to the Borrower through the Administrative Agent and shall be conclusively presumed to be correct save for manifest error. (e) To the extent that the Borrower for any reason fails to indefeasibly pay any amount required under clause (a) or (b) of this Section to be paid by it to the Administrative Agent (or any sub-agent thereof), any Issuing Lender, the Swingline Lender or any Related Party of any of the foregoing, each Lender severally agrees to pay to the Administrative Agent (or any such sub-agent), such Issuing Lender, the Swingline Lender or such Related Party, as the case may be, such Lender’s pro rata share (determined as of the time that the applicable unreimbursed expense or indemnity payment is sought based on each Lender’s share of the Total Credit Exposure at such time, or if the Total Credit Exposure has been reduced to zero, then based on such Lender’s share of the Total Credit Exposure immediately prior to such reduction) of such unpaid amount (including any such unpaid amount in respect of a claim asserted by such Lender); provided that the unreimbursed expense or indemnified loss, claim, damage, liability or related expense, as the case may be, was incurred by or asserted against the Administrative Agent (or any such sub-agent), such Issuing Lender or the Swingline Lender in its capacity as such, or against any Related Party of any of the foregoing acting for the Administrative Agent (or any such sub-agent), such Issuing Lender or the Swingline Lender in connection with such capacity. The obligations of the Lenders under this clause (e) are subject to the provisions of Section 4.7.


 
81 SECTION 10.5 Binding Effect. This Agreement shall be binding upon and inure to the benefit of the Borrower, the Administrative Agent and each Lender and their respective successors and permitted assigns, provided that the Borrower shall not have the right to assign its rights hereunder or any interest herein without the prior written consent of the Lenders. SECTION 10.6 Successors and Assigns; Participations. (a) Successors and Assigns Generally. The provisions of this Agreement shall be binding upon and inure to the benefit of the parties hereto and their respective successors and assigns permitted hereby, except that the Borrower may not assign or otherwise transfer any of its rights or obligations hereunder without the prior written consent of the Administrative Agent and each Lender and no Lender may assign or otherwise transfer any of its rights or obligations hereunder except (i) to an assignee in accordance with the provisions of paragraph (b) of this Section, (ii) by way of participation in accordance with the provisions of paragraph (d) of this Section or (iii) by way of pledge or assignment of a security interest subject to the restrictions of paragraph (e) of this Section (and any other attempted assignment or transfer by any party hereto shall be null and void). Nothing in this Agreement, expressed or implied, shall be construed to confer upon any Person (other than the parties hereto, their respective successors and assigns permitted hereby, Participants to the extent provided in paragraph (d) of this Section and, to the extent expressly contemplated hereby, the Related Parties of each of the Administrative Agent and the Lenders) any legal or equitable right, remedy or claim under or by reason of this Agreement. (b) Assignments by Lenders. Any Lender may at any time assign to one or more assignees all or a portion of its rights and obligations under this Agreement (including all or a portion of its Commitment and the Loans at the time owing to it); provided that any such assignment shall be subject to the following conditions: (i) Minimum Amounts. (A) in the case of an assignment of the entire remaining amount of the assigning Lender’s Commitment and/or the Loans at the time owing to it or in the case of an assignment to a Lender or an Affiliate of a Lender, no minimum amount need be assigned; and (B) in any case not described in paragraph (b)(i)(A) of this Section, the aggregate amount of the Commitment (which for this purpose includes Loans outstanding thereunder) or, if the applicable Commitment is not then in effect, the principal outstanding balance of the Loans of the assigning Lender subject to each such assignment (determined as of the date the Assignment and Assumption with respect to such assignment is delivered to the Administrative Agent or, if “Trade Date” is specified in the Assignment and Assumption, as of the Trade Date) shall not be less than $5,000,000, unless each of the Administrative Agent and, so long as no Event of Default has occurred and is continuing, the Borrower otherwise consents (each such consent not to be unreasonably withheld or delayed); provided that the Borrower shall be deemed to have given its consent unless it shall object thereto by written notice to the Administrative Agent within 5 Business Days after having received notice thereof; (ii) Proportionate Amounts. Each partial assignment shall be made as an assignment of a proportionate part of all the assigning Lender’s rights and obligations under this Agreement with respect to the Loan or the Commitment assigned;


 
82 (iii) Required Consents. No consent shall be required for any assignment except to the extent required by paragraph (b)(i)(B) of this Section and, in addition: (A) the consent of the Borrower (such consent not to be unreasonably withheld or delayed) shall be required unless (x) an Event of Default has occurred and is continuing at the time of such assignment or (y) such assignment is to a Lender or an Affiliate of a Lender; provided, that the Borrower shall be deemed to have consented to any such assignment unless it shall object thereto by written notice to the Administrative Agent within 5 Business Days after having received notice thereof; (B) the consent of the Administrative Agent (such consent not to be unreasonably withheld or delayed) shall be required for assignments if such assignment is to a Person that is not a Lender with a Commitment or an Affiliate of such Lender; and (C) the consents of the Issuing Lenders and the Swingline Lender (such consents not to be unreasonably withheld or delayed) shall be required for any assignment. (iv) Assignment and Assumption. The parties to each assignment shall execute and deliver to the Administrative Agent an Assignment and Assumption, together with a processing and recordation fee of $3,500 for each assignment; provided that the Administrative Agent may, in its sole discretion, elect to waive such processing and recordation fee in the case of any assignment. The assignee, if it is not a Lender, shall deliver to the Administrative Agent an Administrative Questionnaire. (v) No Assignment to Certain Persons. No such assignment shall be made to (A) the Borrower or any of its Subsidiaries or Affiliates, (B) a natural Person (or a holding company, investment vehicle or trust for, or owned and operated for the primary benefit of, a natural Person) or (C) any Defaulting Lender or any of its Subsidiaries, or any Person who, upon becoming a Lender hereunder, would constitute any of the foregoing Persons described in this clause (v). (vi) Certain Additional Payments. In connection with any assignment of rights and obligations of any Defaulting Lender hereunder, no such assignment shall be effective unless and until, in addition to the other conditions thereto set forth herein, the parties to the assignment shall make such additional payments to the Administrative Agent in an aggregate amount sufficient, upon distribution thereof as appropriate (which may be outright payment, purchases by the assignee of participations or subparticipations, or other compensating actions, including funding, with the consent of the Borrower and the Administrative Agent, the applicable pro rata share of Loans previously requested, but not funded by, the Defaulting Lender, to each of which the applicable assignee and assignor hereby irrevocably consent), to (A) pay and satisfy in full all payment liabilities then owed by such Defaulting Lender to the Administrative Agent, the Issuing Lenders, the Swingline Lender and each other Lender hereunder (and interest accrued thereon), and (B) acquire (and fund as appropriate) its full pro rata share of all Loans and participations in Letters of Credit and Swingline Loans in accordance with its Commitment Percentage. Notwithstanding the foregoing, in the event that any assignment of rights and obligations of any Defaulting Lender hereunder shall become effective under Applicable Law without compliance with the provisions of this paragraph, then the assignee of such interest shall be deemed to be a Defaulting Lender for all purposes of this Agreement until such compliance occurs. Subject to acceptance and recording thereof by the Administrative Agent pursuant to paragraph (c) of this Section, from and after the effective date specified in each Assignment and Assumption, the assignee thereunder shall be a party to this Agreement and, to the extent of the interest assigned by such Assignment


 
83 and Assumption, have the rights and obligations of a Lender under this Agreement, and the assigning Lender thereunder shall, to the extent of the interest assigned by such Assignment and Assumption, be released from its obligations under this Agreement (and, in the case of an Assignment and Assumption covering all of the assigning Lender’s rights and obligations under this Agreement, such Lender shall cease to be a party hereto) but shall continue to be entitled to the benefits of Sections 4.8, 4.10, 4.11, 8.4(c) and 10.4 with respect to facts and circumstances occurring prior to the effective date of such assignment; provided, that except to the extent otherwise expressly agreed by the affected parties, no assignment by a Defaulting Lender will constitute a waiver or release of any claim of any party hereunder arising from that Lender’s having been a Defaulting Lender. Any assignment or transfer by a Lender of rights or obligations under this Agreement that does not comply with this paragraph shall be treated for purposes of this Agreement as a sale by such Lender of a participation in such rights and obligations in accordance with paragraph (d) of this Section (other than a purported assignment to a natural Person (or a holding company, investment vehicle or trust for, or owned and operated for the primary benefit of, a natural Person) or the Borrower or any of the Borrower’s Subsidiaries or Affiliates, which shall be null and void). (c) Register. The Administrative Agent, acting solely for this purpose as a non-fiduciary agent of the Borrower, shall maintain at one of its offices in Charlotte, North Carolina, a register for the recordation of the names and addresses of the Lenders, and the Commitments of, and principal amounts of (and stated interest on) the Loans owing to, each Lender pursuant to the terms hereof from time to time (the “Register”). The entries in the Register shall be conclusive, absent manifest error, and the Borrower, the Administrative Agent and the Lenders shall treat each Person whose name is recorded in the Register pursuant to the terms hereof as a Lender hereunder for all purposes of this Agreement. The Register shall be available for inspection by the Borrower and any Lender (but only to the extent of entries in the Register that are applicable to such Lender), at any reasonable time and from time to time upon reasonable prior notice. (d) Participations. Any Lender may at any time, without the consent of, or notice to, the Borrower, the Administrative Agent, any Issuing Lender or the Swingline Lender, sell participations to any Person (other than a natural Person (or a holding company, investment vehicle or trust for, or owned and operated for the primary benefit of, a natural Person) or the Borrower or any of the Borrower’s Subsidiaries or Affiliates) (each, a “Participant”) in all or a portion of such Lender’s rights and/or obligations under this Agreement (including all or a portion of its Commitment and/or the Loans owing to it); provided that (i) such Lender’s obligations under this Agreement shall remain unchanged, (ii) such Lender shall remain solely responsible to the other parties hereto for the performance of such obligations and (iii) the Borrower, the Administrative Agent, each Issuing Lender, the Swingline Lender and the other Lenders shall continue to deal solely and directly with such Lender in connection with such Lender’s rights and obligations under this Agreement. For the avoidance of doubt, each Lender shall be responsible for the indemnity under Section 10.4(e) with respect to any payments made by such Lender to its Participant(s). Any agreement or instrument pursuant to which a Lender sells such a participation shall provide that such Lender shall retain the sole right to enforce this Agreement and to approve any amendment, modification or waiver of any provision of this Agreement; provided that such agreement or instrument may provide that such Lender will not, without the consent of the Participant, agree to any amendment, modification or waiver described in Section 10.1(b), (c), (d) or (e) that directly and adversely affects such Participant. The Borrower agrees that each Participant shall be entitled to the benefits of Sections 4.10, 4.11 (subject to the requirements and limitations therein, including the requirements under Section 4.11(g) (it being understood that the documentation required under Section 4.11(g) shall be delivered to the participating Lender)) and 10.4(d) to the same extent as if it were a Lender and had acquired its interest by assignment pursuant to paragraph (b) of this Section; provided that such Participant (A) agrees to be subject to the provisions of Section 4.12 as if it were an assignee under paragraph (b) of this Section; and (B) shall not be entitled to receive any greater payment under Sections 4.10 or 4.11, with respect to any participation,


 
84 than its participating Lender would have been entitled to receive, except to the extent such entitlement to receive a greater payment results from a Change in Law that occurs after the Participant acquired the applicable participation. Each Lender that sells a participation agrees, at the Borrower’s request and expense, to use reasonable efforts to cooperate with the Borrower to effectuate the provisions of Section 4.12(b) with respect to any Participant. To the extent permitted by law, each Participant also shall be entitled to the benefits of Section 10.4 as though it were a Lender; provided that such Participant agrees to be subject to Section 4.6 and Section 10.4 as though it were a Lender. Each Lender that sells a participation shall, acting solely for this purpose as a non-fiduciary agent of the Borrower, maintain a register on which it enters the name and address of each Participant and the principal amounts of (and stated interest on) each Participant’s interest in the Loans or other obligations under the Loan Documents (the “Participant Register”); provided that no Lender shall have any obligation to disclose all or any portion of the Participant Register (including the identity of any Participant or any information relating to a Participant’s interest in any commitments, loans, letters of credit or its other obligations under any Loan Document) to any Person except to the extent that such disclosure is necessary to establish that such commitment, loan, letter of credit or other obligation is in registered form under Section 5f.103-1(c) or Proposed Section 1.163-5(b) of the United States Treasury Regulations (or, in each case, any amended or successor version). The entries in the Participant Register shall be conclusive absent manifest error, and such Lender shall treat each Person whose name is recorded in the Participant Register as the owner of such participation for all purposes of this Agreement notwithstanding any notice to the contrary. For the avoidance of doubt, the Administrative Agent (in its capacity as Administrative Agent) shall have no responsibility for maintaining a Participant Register. (e) Certain Pledges. Any Lender may at any time pledge or assign a security interest in all or any portion of its rights under this Agreement to secure obligations of such Lender, including any pledge or assignment to secure obligations to a Federal Reserve Bank; provided that no such pledge or assignment shall release such Lender from any of its obligations hereunder or substitute any such pledgee or assignee for such Lender as a party hereto. (f) Cashless Settlement. Notwithstanding anything to the contrary contained in this Agreement, any Lender may exchange, continue or rollover all or a portion of its Loans in connection with any refinancing, extension, loan modification or similar transaction permitted by the terms of this Agreement, pursuant to a cashless settlement mechanism approved by the Borrower, the Administrative Agent and such Lender. SECTION 10.7 Governing Law; Submission to Jurisdiction. This Agreement shall be governed by, and construed in accordance with, the law of the State of New York. The Borrower hereby submits to the exclusive jurisdiction of the United States District Court for the Southern District of New York and of any New York state court, in each case sitting in the Borough of Manhattan, for the purposes of all legal proceedings arising out of or relating to this Agreement or the transactions contemplated hereby. The Borrower hereby irrevocably appoints CT Corporation System (the “Process Agent”), with an office on the date hereof at 111 8th Avenue, 13th Floor, New York, New York 10011, as its agent and true and lawful attorney-in-fact in its name, place and stead to accept on behalf of the Borrower and its Property service of the copies of the summons and complaint and any other process which may be served in any such legal proceedings brought in any such court, and the Borrower agrees that the failure of the Process Agent to give any notice of any such service of process to the Borrower shall not impair or affect the validity of such service or, to the extent permitted by applicable law, the enforcement of any judgment based thereon. The Borrower irrevocably waives, to the fullest extent permitted by applicable law, any objection that it


 
85 may now or hereafter have to the laying of the venue of any such proceeding brought in such a court and any claim that any such proceeding brought in such a court has been brought in an inconvenient forum. SECTION 10.8 Severability. In case any provision in this Agreement shall be held to be invalid, illegal or unenforceable, such provision shall be severable from the rest of this Agreement, and the validity, legality and enforceability of the remaining provisions shall not in any way be affected or impaired thereby. SECTION 10.9 Counterparts; Integration; Effectiveness; Electronic Execution. (a) Counterparts; Integration; Effectiveness. This Agreement may be executed in any number of counterparts and by different parties hereto in separate counterparts, each of which when so executed shall be deemed to be an original and all of which when taken together shall constitute one and the same agreement. This Agreement and the other Loan Documents, and any separate letter agreements with respect to fees payable to the Administrative Agent, any Issuing Lender, the Swingline Lender and/or any Arranger, constitute the entire contract among the parties relating to the subject matter hereof and supersede any and all previous agreements and understandings, oral or written, relating to the subject matter hereof. Except as provided in Section 5.1, this Agreement shall become effective when it shall have been executed by the Administrative Agent and when the Administrative Agent shall have received counterparts hereof that, when taken together, bear the signatures of each of the other parties hereto. Delivery of an executed counterpart of a signature page of this Agreement by facsimile or in electronic (i.e., “pdf” or “tif”) format shall be effective as delivery of a manually executed counterpart of this Agreement. (b) Electronic Execution. The words “execute,” “execution,” “signed,” “signature,” “delivery” and words of like import in or related to this Agreement, any other Loan Document or any document, amendment, approval, consent, waiver, modification, information, notice, certificate, report, statement, disclosure, or authorization to be signed or delivered in connection with this Agreement or any other Loan Document or the transactions contemplated hereby shall be deemed to include Electronic Signatures or execution in the form of an Electronic Record, and contract formations on electronic platforms approved by the Administrative Agent, deliveries or the keeping of records in electronic form, each of which shall be of the same legal effect, validity or enforceability as a manually executed signature or the use of a paper-based recordkeeping system, as the case may be, to the extent and as provided for in any Applicable Law, including the Federal Electronic Signatures in Global and National Commerce Act, the New York State Electronic Signatures and Records Act, or any other similar state laws based on the Uniform Electronic Transactions Act. Each party hereto agrees that any Electronic Signature or execution in the form of an Electronic Record shall be valid and binding on itself and each of the other parties hereto to the same extent as a manual, original signature. For the avoidance of doubt, the authorization under this paragraph may include, without limitation, use or acceptance by the parties of a manually signed paper which has been converted into electronic form (such as scanned into PDF format), or an electronically signed paper converted into another format, for transmission, delivery and/or retention. Notwithstanding anything contained herein to the contrary, the Administrative Agent is under no obligation to accept an Electronic Signature in any form or in any format unless expressly agreed to by the Administrative Agent pursuant to procedures approved by it; provided that without limiting the foregoing, (i) to the extent the Administrative Agent has agreed to accept such Electronic Signature from any party hereto, the Administrative Agent and the other parties hereto shall be entitled to rely on any such Electronic Signature purportedly given by or on behalf of the executing party without further verification and (ii) upon the request of the Administrative Agent or any Lender, any Electronic Signature shall be promptly followed by an original manually executed counterpart thereof. Without limiting the generality of the foregoing, each party hereto hereby (A) agrees that, for all purposes, including without limitation, in connection with any workout, restructuring, enforcement of remedies, bankruptcy proceedings or litigation among the Administrative Agent, the Lenders and the Borrower, electronic images of this Agreement or any other


 
86 Loan Document (in each case, including with respect to any signature pages thereto) shall have the same legal effect, validity and enforceability as any paper original, and (B) waives any argument, defense or right to contest the validity or enforceability of the Loan Documents based solely on the lack of paper original copies of any Loan Documents, including with respect to any signature pages thereto. SECTION 10.10 Survival. The obligations of the Borrower under Section 10.4, the obligations of the Lenders under Section 10.4 and each of the other indemnities to which the Administrative Agent and the Lenders are entitled under the provisions of this Agreement and the other Loan Documents, shall survive the repayment of the Loans and the termination of the Commitments. In addition, each representation and warranty made, or deemed to be made by any Notice of Borrowing, herein or pursuant hereto shall survive the making of such representation and warranty, and no Lender shall be deemed to have waived, by reason of making any Extension of Credit, any Default or Event of Default that may arise by reason of such representation or warranty proving to have been false or misleading. SECTION 10.11 Waiver of Jury Trial. EACH OF THE BORROWER, THE ADMINISTRATIVE AGENT AND THE LENDERS HEREBY IRREVOCABLY WAIVES, TO THE FULLEST EXTENT PERMITTED BY APPLICABLE LAW, ANY AND ALL RIGHT TO TRIAL BY JURY IN ANY LEGAL PROCEEDING ARISING OUT OF OR RELATING TO THIS AGREEMENT OR THE TRANSACTIONS CONTEMPLATED HEREBY. SECTION 10.12 Confidentiality. Each of the Administrative Agent, the Lenders and the Issuing Lenders agree to maintain the confidentiality of the Information (as defined below), except that Information may be disclosed (a) to its Affiliates and to its Related Parties (it being understood that the Persons to whom such disclosure is made will be informed of the confidential nature of such Information and instructed to keep such Information confidential); (b) to the extent required or requested by, or required to be disclosed to, any regulatory authority purporting to have jurisdiction over such Person or its Related Parties (including any self-regulatory authority, such as the National Association of Insurance Commissioners); (c) to the extent required by Applicable Laws or by any subpoena or similar legal process; (d) to any other party hereto; (e) in connection with the exercise of any remedies hereunder or under any other Loan Document or any action or proceeding relating to this Agreement or any other Loan Document or the enforcement of rights hereunder or thereunder; (f) subject to an agreement containing provisions substantially the same as (or no less restrictive than) those of this Section, to (i) any assignee of or Participant in, or any prospective assignee of or Participant in, any of its rights and obligations under this Agreement, or (ii) any actual or prospective party (or its Related Parties) to any swap, derivative or other transaction under which payments are to be made by reference to the Borrower and its obligations, this Agreement or payments hereunder; (g) on a confidential basis to (i) any rating agency in connection with rating the Borrower or its Subsidiaries or any of the credit facilities hereunder or (ii) the CUSIP Service Bureau or any similar agency in connection with the issuance and monitoring of CUSIP numbers with respect to any of the credit facilities hereunder; (h) with the consent of the Borrower; or (i) to the extent such Information (x) becomes publicly available other than as a result of a breach of this Section, or (y) becomes available to the Administrative Agent, any Lender, any Issuing Lender or any of their respective Affiliates on a non-confidential basis from a source other than the Borrower who did not acquire such information as a result of a breach of this Section. In addition, the Administrative Agent, the Lenders and the Issuing Lenders may disclose the existence of this Agreement and information about this Agreement to market data collectors, similar service providers to the lending industry and service providers to the Administrative Agent and the Arrangers or any Lender in connection with the administration of this Agreement, the other Loan Documents, and the Commitments. For purposes of this Section, “Information” means all information received from the Borrower or any of its Subsidiaries relating to the Borrower or any of its Subsidiaries or any of their respective businesses, other than any such information that is available to the Administrative Agent, any Lender or any Issuing Lender on a non-confidential basis prior to disclosure by the Borrower or any of its Subsidiaries;


 
87 provided that, in the case of information received from the Borrower or any of its Subsidiaries after the date hereof, such information will be considered private and confidential unless it is clearly and conspicuously marked “PUBLIC” or “NOT CONFIDENTIAL” (as provided for Borrower Materials in Section 7.1) at the time of delivery. Any Person required to maintain the confidentiality of Information as provided in this Section shall be considered to have complied with its obligation to do so if such Person has exercised the same degree of care to maintain the confidentiality of such Information as such Person would accord to its own confidential information. SECTION 10.13 Nonliability of Lenders; No Advisory or Fiduciary Responsibility. The Borrower acknowledges and agrees, and acknowledges its Subsidiaries’ understanding, that no Credit Party will have any obligations except those obligations expressly set forth herein and in the other Loan Documents and each Credit Party is acting solely in the capacity of an arm’s length contractual counterparty to the Borrower with respect to the Loan Documents and the transaction contemplated therein and not as a financial advisor or a fiduciary to, or an agent of, the Borrower or any other Person. The Borrower agrees that it will not assert any claim against any Credit Party based on an alleged breach of fiduciary duty by such Credit Party in connection with this Agreement and the transactions contemplated hereby. Additionally, the Borrower acknowledges and agrees that no Credit Party is advising the Borrower as to any legal, tax, investment, accounting, regulatory or any other matters in any jurisdiction. The Borrower shall consult with its own advisors concerning such matters and shall be responsible for making its own independent investigation and appraisal of the transactions contemplated hereby, and the Credit Parties shall have no responsibility or liability to the Borrower with respect thereto. The Borrower further acknowledges and agrees, and acknowledges its Subsidiaries’ understanding, that each Credit Party is a full service securities or banking firm engaged in securities trading and brokerage activities as well as providing investment banking and other financial services. In the ordinary course of business, any Credit Party may provide investment banking and other financial services to, and/or acquire, hold or sell, for its own accounts and the accounts of customers, equity, debt and other securities and financial instruments (including bank loans and other obligations) of, the Borrower, its Subsidiaries and other companies with which the Borrower or any of its Subsidiaries may have commercial or other relationships. With respect to any securities and/or financial instruments so held by any Credit Party or any of its customers, all rights in respect of such securities and financial instruments, including any voting rights, will be exercised by the holder of the rights, in its sole discretion. In addition, the Borrower acknowledges and agrees, and acknowledges its Subsidiaries’ understanding, that each Credit Party and its affiliates may be providing debt financing, equity capital or other services (including financial advisory services) to other companies in respect of which the Borrower or any of its Subsidiaries may have conflicting interests regarding the transactions described herein and otherwise. No Credit Party will use confidential information obtained from the Borrower by virtue of the transactions contemplated by the Loan Documents or its other relationships with the Borrower in connection with the performance by such Credit Party of services for other companies, and no Credit Party will furnish any such information to other companies. The Borrower also acknowledges that no Credit Party has any obligation to use in connection with the transactions contemplated by the Loan Documents, or to furnish to the Borrower or any of its Subsidiaries, confidential information obtained from other companies. SECTION 10.14 USA PATRIOT Act; Anti-Money Laundering Laws. The Administrative Agent and each Lender hereby notifies the Borrower that pursuant to the requirements of the USA PATRIOT Act (Title III of Pub. L. 107-56 (signed into law October 26, 2001)) (the “PATRIOT Act”) or any other anti-money laundering laws, each of them is required to obtain, verify and record information that identifies the Borrower, which information includes the name and address of the Borrower and other information that will allow such Lender to identify the Borrower in accordance with the PATRIOT Act or such anti-money laundering laws.


 
88 SECTION 10.15 Interest Rate Limitation. Notwithstanding anything herein to the contrary, if at any time the interest rate applicable to any Loan, together with all fees, charges and other amounts which are treated as interest on such Loan under applicable law (collectively the “Charges”), shall exceed the maximum lawful rate (the “Maximum Rate”) which may be contracted for, charged, taken, received or reserved by the Lender holding such Loan in accordance with applicable law, the rate of interest payable in respect of such Loan hereunder, together with all Charges payable in respect thereof, shall be limited to the Maximum Rate and, to the extent lawful, the interest and Charges that would have been payable in respect of such Loan but were not payable as a result of the operation of this Section shall be cumulated and the interest and Charges payable to such Lender in respect of other Loans or periods shall be increased (but not above the Maximum Rate therefor) until such cumulated amount, together with interest thereon at the Federal Funds Rate to the date of repayment, shall have been received by such Lender. SECTION 10.16 Acknowledgement and Consent to Bail-In of Affected Financial Institutions. Notwithstanding anything to the contrary in any Loan Document or in any other agreement, arrangement or understanding among any such parties, each party hereto acknowledges that any liability of any Affected Financial Institution arising under any Loan Document, to the extent such liability is unsecured, may be subject to the Write-Down and Conversion Powers of the applicable Resolution Authority and agrees and consents to, and acknowledges and agrees to be bound by: (a) the application of any Write-Down and Conversion Powers by the applicable Resolution Authority to any such liabilities arising hereunder which may be payable to it by any party hereto that is an Affected Financial Institution; and (b) the effects of any Bail-In Action on any such liability, including, if applicable: (i) a reduction in full or in part or cancellation of any such liability; (ii) a conversion of all, or a portion of, such liability into shares or other instruments of ownership in such Affected Financial Institution, its parent entity, or a bridge institution that may be issued to it or otherwise conferred on it, and that such shares or other instruments of ownership will be accepted by it in lieu of any rights with respect to any such liability under this Agreement or any other Loan Document; or (iii) the variation of the terms of such liability in connection with the exercise of the Write-Down and Conversion Powers of the applicable Resolution Authority. SECTION 10.17 Acknowledgement Regarding Any Supported QFCs. To the extent that the Loan Documents provide support, through a guarantee or otherwise, for Hedge Agreements or any other agreement or instrument that is a QFC (such support, “QFC Credit Support” and, each such QFC, a “Supported QFC”), the parties acknowledge and agree as follows with respect to the resolution power of the FDIC under the Federal Deposit Insurance Act and Title II of the Dodd-Frank Wall Street Reform and Consumer Protection Act (together with the regulations promulgated thereunder, the “U.S. Special Resolution Regimes”) in respect of such Supported QFC and QFC Credit Support (with the provisions below applicable notwithstanding that the Loan Documents and any Supported QFC may in fact be stated to be governed by the laws of the State of New York and/or of the United States or any other state of the United States): (a) In the event a Covered Entity that is party to a Supported QFC (each, a “Covered Party”) becomes subject to a proceeding under a U.S. Special Resolution Regime, the transfer of such Supported QFC and the benefit of such QFC Credit Support (and any interest and obligation in or under such Supported QFC and such QFC Credit Support, and any rights in property securing such Supported QFC or such QFC


 
89 Credit Support) from such Covered Party will be effective to the same extent as the transfer would be effective under the U.S. Special Resolution Regime if the Supported QFC and such QFC Credit Support (and any such interest, obligation and rights in property) were governed by the laws of the United States or a state of the United States. In the event a Covered Party or a BHC Act Affiliate of a Covered Party becomes subject to a proceeding under a U.S. Special Resolution Regime, Default Rights under the Loan Documents that might otherwise apply to such Supported QFC or any QFC Credit Support that may be exercised against such Covered Party are permitted to be exercised to no greater extent than such Default Rights could be exercised under the U.S. Special Resolution Regime if the Supported QFC and the Loan Documents were governed by the laws of the United States or a state of the United States. Without limitation of the foregoing, it is understood and agreed that rights and remedies of the parties with respect to a Defaulting Lender shall in no event affect the rights of any Covered Party with respect to a Supported QFC or any QFC Credit Support. (b) As used in this Section 10.17, the following terms have the following meanings: “BHC Act Affiliate” of a party means an “affiliate” (as such term is defined under, and interpreted in accordance with, 12 U.S.C. 1841(k)) of such party. “Covered Entity” means any of the following: (i) a “covered entity” as that term is defined in, and interpreted in accordance with, 12 C.F.R. § 252.82(b); (ii) a “covered bank” as that term is defined in, and interpreted in accordance with, 12 C.F.R. § 47.3(b); or (iii) a “covered FSI” as that term is defined in, and interpreted in accordance with, 12 C.F.R. § 382.2(b). “Default Right” has the meaning assigned to that term in, and shall be interpreted in accordance with, 12 C.F.R. §§ 252.81, 47.2 or 382.1, as applicable. “QFC” has the meaning assigned to the term “qualified financial contract” in, and shall be interpreted in accordance with, 12 U.S.C. 5390(c)(8)(D). [Signature pages intentionally omitted.]


 
ANNEX B Amended Exhibits B, D and E See attached.


 
EXHIBIT B to Credit Agreement dated as of July 9, 2021 by and among Coca-Cola Consolidated, Inc., as Borrower, the lenders party thereto, as Lenders, and Wells Fargo Bank, National Association, as Administrative Agent FORM OF NOTICE OF BORROWING


 
Form of Notice of Borrowing NOTICE OF BORROWING Dated as of: _____________ Wells Fargo Bank, National Association, as Administrative Agent MAC D 1109-019 1525 West W.T. Harris Blvd. Charlotte, North Carolina 28262 Attention: Syndication Agency Services Ladies and Gentlemen: This irrevocable Notice of Borrowing is delivered to you pursuant to Section 2.3 of the Credit Agreement dated as of July 9, 2021 (the “Credit Agreement”), by and among Coca-Cola Consolidated, Inc., a Delaware corporation (the “Borrower”), the Lenders party thereto and Wells Fargo Bank, National Association, as Administrative Agent. Capitalized terms used herein and not defined herein shall have the meanings assigned thereto in the Credit Agreement. 1. The Borrower hereby requests that the Lenders make [a Revolving Credit Loan][a Swingline Loan] to the Borrower in the aggregate principal amount of $___________. (Complete with an amount in accordance with Section 2.3 of the Credit Agreement.) 2. The Borrower hereby requests that such Loan(s) be made on the following Business Day: _____________________. (Complete with a Business Day in accordance with Section 2.3 of the Credit Agreement for Revolving Credit Loans or Swingline Loans). 3. The Borrower hereby requests that such Loan(s) bear interest at the following interest rate, plus the Applicable Margin, as set forth below: Component of Loan1 Interest Rate Interest Period (Adjusted Term SOFR only) [Base Rate, Adjusted Term SOFR or Swingline Rate]2 4. The aggregate principal amount of all Loans and L/C Obligations outstanding as of the date hereof (including the Loan(s) requested herein) does not exceed the maximum amount permitted to be outstanding pursuant to the terms of the Credit Agreement. 5. All of the conditions applicable to the Loan(s) requested herein as set forth in the Credit Agreement have been satisfied as of the date hereof and will remain satisfied to the date of such Loan. [Remainder of page intentionally left blank; signature page follows] 1 Complete with the Dollar amount of that portion of the overall Loan requested that is to bear interest at the selected interest rate and/or Interest Period (e.g., for a $20,000,000 loan, $5,000,000 may be requested at Base Rate, $8,000,000 may be requested at Adjusted Term SOFR with an interest period of three months and $7,000,000 may be requested at Adjusted Term SOFR with an interest period of one month). 2 Complete with (i) the Base Rate or Adjusted Term SOFR for Revolving Credit Loans or (ii) the Swingline Rate for Swingline Loans.


 
Form of Notice of Borrowing IN WITNESS WHEREOF, the undersigned has executed this Notice of Borrowing as of the day and year first written above. COCA-COLA CONSOLIDATED, INC. By: Name: Title:


 
EXHIBIT D to Credit Agreement dated as of July 9, 2021 by and among Coca-Cola Consolidated, Inc., as Borrower, the lenders party thereto, as Lenders, and Wells Fargo Bank, National Association, as Administrative Agent FORM OF NOTICE OF PREPAYMENT


 
Form of Notice of Prepayment NOTICE OF PREPAYMENT Dated as of: _____________ Wells Fargo Bank, National Association, as Administrative Agent MAC D 1109-019 1525 West W.T. Harris Blvd. Charlotte, North Carolina 28262 Attention: Syndication Agency Services Ladies and Gentlemen: This irrevocable Notice of Prepayment is delivered to you pursuant to Section 2.4(c) of the Credit Agreement dated as of July 9, 2021 (the “Credit Agreement”), by and among Coca-Cola Consolidated, Inc., a Delaware corporation (the “Borrower”), the Lenders party thereto and Wells Fargo Bank, National Association, as Administrative Agent. Capitalized terms used herein and not defined herein shall have the meanings assigned thereto in the Credit Agreement. 1. The Borrower hereby provides notice to the Administrative Agent that it shall repay the following [Base Rate Loans] and/or [SOFR Loans]: _______________. (Complete with an amount in accordance with Section 2.4 of the Credit Agreement.) 2. The Loan(s) to be prepaid consist of: [check each applicable box] a Swingline Loan a Revolving Credit Loan 3. The Borrower shall repay the above-referenced Loans on the following Business Day: _______________. (Complete with a date no earlier than (i) the same Business Day as of the date of this Notice of Prepayment with respect to any Swingline Loan or Base Rate Loan and (ii) two (2) U.S. Government Securities Business Days subsequent to date of this Notice of Prepayment with respect to any SOFR Loan.) [Remainder of page intentionally left blank; signature page follows]


 
Form of Notice of Prepayment IN WITNESS WHEREOF, the undersigned has executed this Notice of Prepayment as of the day and year first written above. COCA-COLA CONSOLIDATED, INC. By: Name: Title:


 
EXHIBIT E to Credit Agreement dated as of July 9, 2021 by and among Coca-Cola Consolidated, Inc., as Borrower, the lenders party thereto, as Lenders, and Wells Fargo Bank, National Association, as Administrative Agent FORM OF NOTICE OF CONVERSION/CONTINUATION


 
Form of Notice of Conversion/Continuation NOTICE OF CONVERSION/CONTINUATION Dated as of: _____________ Wells Fargo Bank, National Association, as Administrative Agent MAC D 1109-019 1525 West W.T. Harris Blvd. Charlotte, North Carolina 28262 Attention: Syndication Agency Services Ladies and Gentlemen: This irrevocable Notice of Conversion/Continuation (this “Notice”) is delivered to you pursuant to Section 4.2 of the Credit Agreement dated as of July 9, 2021 (the “Credit Agreement”), by and among Coca-Cola Consolidated, Inc., a Delaware corporation (the “Borrower”), the Lenders party thereto and Wells Fargo Bank, National Association, as Administrative Agent. Capitalized terms used herein and not defined herein shall have the meanings assigned thereto in the Credit Agreement. 1. The Loan to which this Notice relates is a Revolving Credit Loan. 2. This Notice is submitted for the purpose of: (Check one and complete applicable information in accordance with the Credit Agreement.) Converting all or a portion of a Base Rate Loan into a SOFR Loan Outstanding principal balance: $______________ Principal amount to be converted: $______________ Requested effective date of conversion: _______________ Requested new Interest Period: _______________ Converting all or a portion of a SOFR Loan into a Base Rate Loan Outstanding principal balance: $______________ Principal amount to be converted: $______________ Last day of the current Interest Period: _______________ Requested effective date of conversion: _______________


 
Form of Notice of Conversion/Continuation Continuing all or a portion of a SOFR Loan as a SOFR Loan Outstanding principal balance: $______________ Principal amount to be continued: $______________ Last day of the current Interest Period: _______________ Requested effective date of continuation: _______________ Requested new Interest Period: _______________ 3. The aggregate principal amount of all Loans and L/C Obligations outstanding as of the date hereof does not exceed the maximum amount permitted to be outstanding pursuant to the terms of the Credit Agreement. [Remainder of page intentionally left blank; signature page follows]


 
IN WITNESS WHEREOF, the undersigned has executed this Notice of Conversion/Continuation as of the day and year first written above. COCA-COLA CONSOLIDATED, INC. By: Name: Title: